Abstract:Extracting causal connections can advance interpretable AI and machine learning. Granger causality (GC) is a robust statistical method for estimating directed influences (DC) between signals. While GC has been widely applied to analysing neuronal signals in biological neural networks and other domains, its application to complex, nonlinear, and multistable neural networks is less explored. In this study, we applied time-domain multi-variate Granger causality (MVGC) to the time series neural activity of all nodes in a trained multistable biologically based decision neural network model with real-time decision uncertainty monitoring. Our analysis demonstrated that challenging two-choice decisions, where input signals could be closely matched, and the appropriate application of fine-grained sliding time windows, could readily reveal the original model's DC. Furthermore, the identified DC varied based on whether the network had correct or error decisions. Integrating the identified DC from different decision outcomes recovered most of the original model's architecture, despite some spurious and missing connectivity. This approach could be used as an initial exploration to enhance the interpretability and transparency of dynamic multistable and nonlinear biological or AI systems by revealing causal connections throughout different phases of neural network dynamics and outcomes.




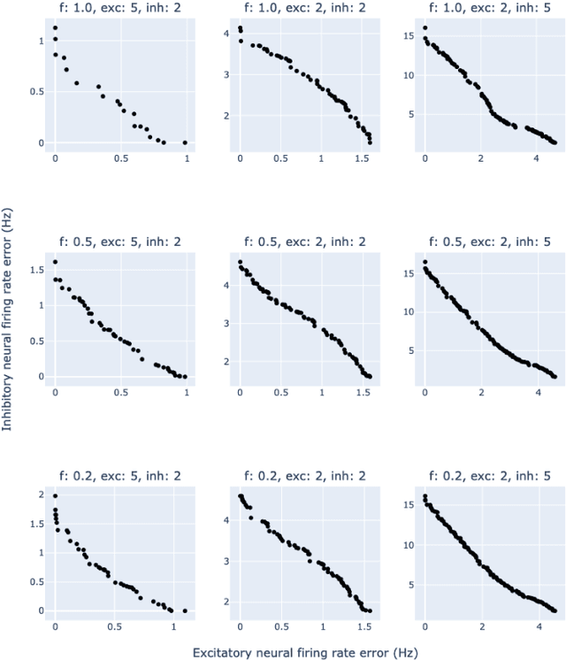
Abstract:Spiking neural networks (SNNs) communicate through the all-or-none spiking activity of neurons. However, fitting the large number of SNN model parameters to observed neural activity patterns, for example, in biological experiments, remains a challenge. Previous work using genetic algorithm (GA) optimisation on a specific efficient SNN model, using the Izhikevich neuronal model, was limited to a single parameter and objective. This work applied a version of GA, called non-dominated sorting GA (NSGA-III), to demonstrate the feasibility of performing multi-objective optimisation on the same SNN, focusing on searching network connectivity parameters to achieve target firing rates of excitatory and inhibitory neuronal types, including across different network connectivity sparsity. We showed that NSGA-III could readily optimise for various firing rates. Notably, when the excitatory neural firing rates were higher than or equal to that of inhibitory neurons, the errors were small. Moreover, when connectivity sparsity was considered as a parameter to be optimised, the optimal solutions required sparse network connectivity. We also found that for excitatory neural firing rates lower than that of inhibitory neurons, the errors were generally larger. Overall, we have successfully demonstrated the feasibility of implementing multi-objective GA optimisation on network parameters of recurrent and sparse SNN.




Abstract:Data imputation is the most popular method of dealing with missing values, but in most real life applications, large missing data can occur and it is difficult or impossible to evaluate whether data has been imputed accurately (lack of ground truth). This paper addresses these issues by proposing an effective and simple principal component based method for determining whether individual data features can be accurately imputed - feature imputability. In particular, we establish a strong linear relationship between principal component loadings and feature imputability, even in the presence of extreme missingness and lack of ground truth. This work will have important implications in practical data imputation strategies.




Abstract:Neural networks are complex algorithms that loosely model the behaviour of the human brain. They play a significant role in computational neuroscience and artificial intelligence. The next generation of neural network models is based on the spike timing activity of neurons: spiking neural networks (SNNs). However, model parameters in SNNs are difficult to search and optimise. Previous studies using genetic algorithm (GA) optimisation of SNNs were focused mainly on simple, feedforward, or oscillatory networks, but not much work has been done on optimising cortex-like recurrent SNNs. In this work, we investigated the use of GAs to search for optimal parameters in recurrent SNNs to reach targeted neuronal population firing rates, e.g. as in experimental observations. We considered a cortical column based SNN comprising 1000 Izhikevich spiking neurons for computational efficiency and biologically realism. The model parameters explored were the neuronal biased input currents. First, we found for this particular SNN, the optimal parameter values for targeted population averaged firing activities, and the convergence of algorithm by ~100 generations. We then showed that the GA optimal population size was within ~16-20 while the crossover rate that returned the best fitness value was ~0.95. Overall, we have successfully demonstrated the feasibility of implementing GA to optimise model parameters in a recurrent cortical based SNN.




Abstract:Multimodal integration is an important process in perceptual decision-making. In humans, this process has often been shown to be statistically optimal, or near optimal: sensory information is combined in a fashion that minimises the average error in perceptual representation of stimuli. However, sometimes there are costs that come with the optimization, manifesting as illusory percepts. We review audio-visual facilitations and illusions that are products of multisensory integration, and the computational models that account for these phenomena. In particular, the same optimal computational model can lead to illusory percepts, and we suggest that more studies should be needed to detect and mitigate these illusions, as artefacts in artificial cognitive systems. We provide cautionary considerations when designing artificial cognitive systems with the view of avoiding such artefacts. Finally, we suggest avenues of research towards solutions to potential pitfalls in system design. We conclude that detailed understanding of multisensory integration and the mechanisms behind audio-visual illusions can benefit the design of artificial cognitive systems.