



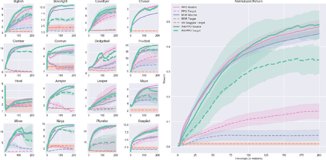
Abstract:We introduce Wasserstein Adversarial Proximal Policy Optimization (WAPPO), a novel algorithm for visual transfer in Reinforcement Learning that explicitly learns to align the distributions of extracted features between a source and target task. WAPPO approximates and minimizes the Wasserstein-1 distance between the distributions of features from source and target domains via a novel Wasserstein Confusion objective. WAPPO outperforms the prior state-of-the-art in visual transfer and successfully transfers policies across Visual Cartpole and two instantiations of 16 OpenAI Procgen environments.




Abstract:PiDrone is a quadrotor platform created to accompany an introductory robotics course. Students build an autonomous flying robot from scratch and learn to program it through assignments and projects. Existing educational robots do not have significant autonomous capabilities, such as high-level planning and mapping. We present a hardware and software framework for an autonomous aerial robot, in which all software for autonomy can run onboard the drone, implemented in Python. We present an Unscented Kalman Filter (UKF) for accurate state estimation. Next, we present an implementation of Monte Carlo (MC) Localization and FastSLAM for Simultaneous Localization and Mapping (SLAM). The performance of UKF, localization, and SLAM is tested and compared to ground truth, provided by a motion-capture system. Our evaluation demonstrates that our autonomous educational framework runs quickly and accurately on a Raspberry Pi in Python, making it ideal for use in educational settings.