Abstract:Recent advances in Large Language Models (LLMs) have demonstrated their remarkable capacity to process and reason over structured and unstructured data modalities beyond natural language. In this work, we explore the applications of Vision Language Models (VLMs), specifically a fine-tuned variant of LLaMa 3.2, to the task of identifying neutrino interactions in pixelated detector data from high-energy physics (HEP) experiments. We benchmark this model against a state-of-the-art convolutional neural network (CNN) architecture, similar to those used in the NOvA and DUNE experiments, which have achieved high efficiency and purity in classifying electron and muon neutrino events. Our evaluation considers both the classification performance and interpretability of the model predictions. We find that VLMs can outperform CNNs, while also providing greater flexibility in integrating auxiliary textual or semantic information and offering more interpretable, reasoning-based predictions. This work highlights the potential of VLMs as a general-purpose backbone for physics event classification, due to their high performance, interpretability, and generalizability, which opens new avenues for integrating multimodal reasoning in experimental neutrino physics.
Abstract:Recent progress in large language models (LLMs) has shown strong potential for multimodal reasoning beyond natural language. In this work, we explore the use of a fine-tuned Vision-Language Model (VLM), based on LLaMA 3.2, for classifying neutrino interactions from pixelated detector images in high-energy physics (HEP) experiments. We benchmark its performance against an established CNN baseline used in experiments like NOvA and DUNE, evaluating metrics such as classification accuracy, precision, recall, and AUC-ROC. Our results show that the VLM not only matches or exceeds CNN performance but also enables richer reasoning and better integration of auxiliary textual or semantic context. These findings suggest that VLMs offer a promising general-purpose backbone for event classification in HEP, paving the way for multimodal approaches in experimental neutrino physics.
Abstract:Liquid argon time projection chambers are often used in neutrino physics and dark-matter searches because of their high spatial resolution. The images generated by these detectors are extremely sparse, as the energy values detected by most of the detector are equal to 0, meaning that despite their high resolution, most of the detector is unused in a particular interaction. Instead of representing all of the empty detections, the interaction is usually stored as a sparse matrix, a list of detection locations paired with their energy values. Traditional machine learning methods that have been applied to particle reconstruction such as convolutional neural networks (CNNs), however, cannot operate over data stored in this way and therefore must have the matrix fully instantiated as a dense matrix. Operating on dense matrices requires a lot of memory and computation time, in contrast to directly operating on the sparse matrix. We propose a machine learning model using a point set neural network that operates over a sparse matrix, greatly improving both processing speed and accuracy over methods that instantiate the dense matrix, as well as over other methods that operate over sparse matrices. Compared to competing state-of-the-art methods, our method improves classification performance by 14%, segmentation performance by more than 22%, while taking 80% less time and using 66% less memory. Compared to state-of-the-art CNN methods, our method improves classification performance by more than 86%, segmentation performance by more than 71%, while reducing runtime by 91% and reducing memory usage by 61%.




Abstract:The complex events observed at the NOvA long-baseline neutrino oscillation experiment contain vital information for understanding the most elusive particles in the standard model. The NOvA detectors observe interactions of neutrinos from the NuMI beam at Fermilab. Associating the particles produced in these interaction events to their source particles, a process known as reconstruction, is critical for accurately measuring key parameters of the standard model. Events may contain several particles, each producing sparse high-dimensional spatial observations, and current methods are limited to evaluating individual particles. To accurately label these numerous, high-dimensional observations, we present a novel neural network architecture that combines the spatial learning enabled by convolutions with the contextual learning enabled by attention. This joint approach, TransformerCVN, simultaneously classifies each event and reconstructs every individual particle's identity. TransformerCVN classifies events with 90\% accuracy and improves the reconstruction of individual particles by 6\% over baseline methods which lack the integrated architecture of TransformerCVN. In addition, this architecture enables us to perform several interpretability studies which provide insights into the network's predictions and show that TransformerCVN discovers several fundamental principles that stem from the standard model.




Abstract:In the framework of three-active-neutrino mixing, the charge parity phase, the neutrino mass ordering, and the octant of $\theta_{23}$ remain unknown. The Deep Underground Neutrino Experiment (DUNE) is a next-generation long-baseline neutrino oscillation experiment, which aims to address these questions by measuring the oscillation patterns of $\nu_\mu/\nu_e$ and $\bar\nu_\mu/\bar\nu_e$ over a range of energies spanning the first and second oscillation maxima. DUNE far detector modules are based on liquid argon TPC (LArTPC) technology. A LArTPC offers excellent spatial resolution, high neutrino detection efficiency, and superb background rejection, while reconstruction in LArTPC is challenging. Deep learning methods, in particular, Convolutional Neural Networks (CNNs), have demonstrated success in classification problems such as particle identification in DUNE and other neutrino experiments. However, reconstruction of neutrino energy and final state particle momenta with deep learning methods is yet to be developed for a full AI-based reconstruction chain. To precisely reconstruct these kinematic characteristics of detected interactions at DUNE, we have developed and will present two CNN-based methods, 2-D and 3-D, for the reconstruction of final state particle direction and energy, as well as neutrino energy. Combining particle masses with the kinetic energy and the direction reconstructed by our work, the four-momentum of final state particles can be obtained. Our models show considerable improvements compared to the traditional methods for both scenarios.




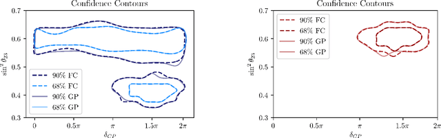
Abstract:Neutrino oscillation study involves inferences from tiny samples of data which have complicated dependencies on multiple oscillation parameters simultaneously. This is typically carried out using the unified approach of Feldman and Cousins which is very computationally expensive, on the order of tens of millions of CPU hours. In this work, we propose an iterative method using Gaussian Process to efficiently find a confidence contour for the oscillation parameters and show that it produces the same results at a fraction of the computation cost.