Abstract:This work proposes Adaptive Facilitated Mutation, a self-adaptive mutation method for Structured Grammatical Evolution (SGE), biologically inspired by the theory of facilitated variation. In SGE, the genotype of individuals contains a list for each non-terminal of the grammar that defines the search space. In our proposed mutation, each individual contains an array with a different, self-adaptive mutation rate for each non-terminal. We also propose Function Grouped Grammars, a grammar design procedure, to enhance the benefits of the proposed mutation. Experiments were conducted on three symbolic regression benchmarks using Probabilistic Structured Grammatical Evolution (PSGE), a variant of SGE. Results show our approach is similar or better when compared with the standard grammar and mutation.




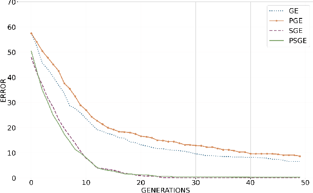
Abstract:The grammars used in grammar-based Genetic Programming (GP) methods have a significant impact on the quality of the solutions generated since they define the search space by restricting the solutions to its syntax. In this work, we propose Probabilistic Structured Grammatical Evolution (PSGE), a new approach that combines the Structured Grammatical Evolution (SGE) and Probabilistic Grammatical Evolution (PGE) representation variants and mapping mechanisms. The genotype is a set of dynamic lists, one for each non-terminal in the grammar, with each element of the list representing a probability used to select the next Probabilistic Context-Free Grammar (PCFG) derivation rule. PSGE statistically outperformed Grammatical Evolution (GE) on all six benchmark problems studied. In comparison to PGE, PSGE outperformed 4 of the 6 problems analyzed.




Abstract:This work proposes an extension to Structured Grammatical Evolution (SGE) called Co-evolutionary Probabilistic Structured Grammatical Evolution (Co-PSGE). In Co-PSGE each individual in the population is composed by a grammar and a genotype, which is a list of dynamic lists, each corresponding to a non-terminal of the grammar containing real numbers that correspond to the probability of choosing a derivation rule. Each individual uses its own grammar to map the genotype into a program. During the evolutionary process, both the grammar and the genotype are subject to variation operators. The performance of the proposed approach is compared to 3 different methods, namely, Grammatical Evolution (GE), Probabilistic Grammatical Evolution (PGE), and SGE on four different benchmark problems. The results show the effectiveness of the approach since Co-PSGE is able to outperform all the methods with statistically significant differences in the majority of the problems.




Abstract:Grammatical Evolution (GE) is one of the most popular Genetic Programming (GP) variants, and it has been used with success in several problem domains. Since the original proposal, many enhancements have been proposed to GE in order to address some of its main issues and improve its performance. In this paper we propose Probabilistic Grammatical Evolution (PGE), which introduces a new genotypic representation and new mapping mechanism for GE. Specifically, we resort to a Probabilistic Context-Free Grammar (PCFG) where its probabilities are adapted during the evolutionary process, taking into account the productions chosen to construct the fittest individual. The genotype is a list of real values, where each value represents the likelihood of selecting a derivation rule. We evaluate the performance of PGE in two regression problems and compare it with GE and Structured Grammatical Evolution (SGE). The results show that PGE has a a better performance than GE, with statistically significant differences, and achieved similar performance when comparing with SGE.