



Abstract:We propose a novel method to generate underwater object imagery that is acoustically compliant with that generated by side-scan sonar using the Unreal Engine. We describe the process to develop, tune, and generate imagery to provide representative images for use in training automated target recognition (ATR) and machine learning algorithms. The methods provide visual approximations for acoustic effects such as back-scatter noise and acoustic shadow, while allowing fast rendering with C++ actor in UE for maximizing the size of potential ATR training datasets. Additionally, we provide analysis of its utility as a replacement for actual sonar imagery or physics-based sonar data.




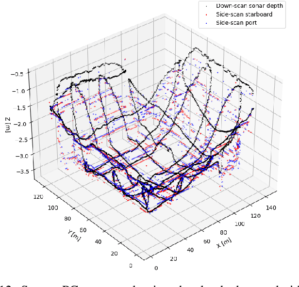
Abstract:Generating 3D point cloud (PC) data from noisy sonar measurements is a problem that has potential applications for bathymetry mapping, artificial object inspection, mapping of aquatic plants and fauna as well as underwater navigation and localization of vehicles such as submarines. Side-scan sonar sensors are available in inexpensive cost ranges, especially in fish-finders, where the transducers are usually mounted to the bottom of a boat and can approach shallower depths than the ones attached to an Uncrewed Underwater Vehicle (UUV) can. However, extracting 3D information from side-scan sonar imagery is a difficult task because of its low signal-to-noise ratio and missing angle and depth information in the imagery. Since most algorithms that generate a 3D point cloud from side-scan sonar imagery use Shape from Shading (SFS) techniques, extracting 3D information is especially difficult when the seafloor is smooth, is slowly changing in depth, or does not have identifiable objects that make acoustic shadows. This paper introduces an efficient algorithm that generates a sparse 3D point cloud from side-scan sonar images. This computation is done in a computationally efficient manner by leveraging the geometry of the first sonar return combined with known positions provided by GPS and down-scan sonar depth measurement at each data point. Additionally, this paper implements another algorithm that uses a Convolutional Neural Network (CNN) using transfer learning to perform object detection on side-scan sonar images collected in real life and generated with a simulation. The algorithm was tested on both real and synthetic images to show reasonably accurate anomaly detection and classification.