



Abstract:Gene Regulatory Networks are networks of interactions in biological organisms responsible for determining the production levels of proteins and peptides. Proteins are workers of a cell factory, and their production defines the goal of a cell and its development. Various attempts have been made to model such networks both to understand these biological systems better and to use inspiration from understanding them to solve computational problems. In this work, a biologically more realistic model for gene regulatory networks is proposed, which incorporates Cellular Automata and Artificial Chemistry to model the interactions between regulatory proteins called the Transcription Factors and the regulatory sites of genes. The result of this work shows complex dynamics close to what can be observed in nature. Here, an analysis of the impact of the initial states of the system on the produced dynamics is performed, showing that such evolvable models can be directed towards producing desired protein dynamics.




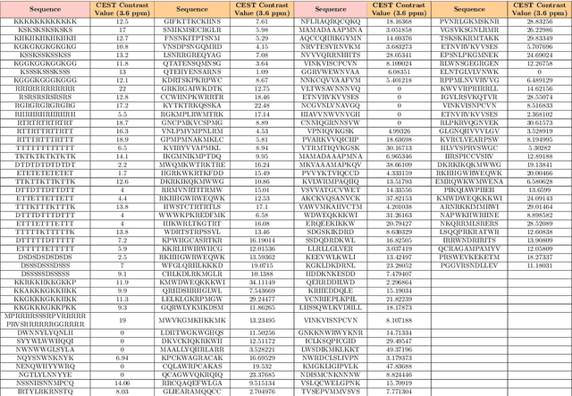
Abstract:Protein engineers conventionally use tools such as Directed Evolution to find new proteins with better functionalities and traits. More recently, computational techniques and especially machine learning approaches have been recruited to assist Directed Evolution, showing promising results. In this paper, we propose POET, a computational Genetic Programming tool based on evolutionary computation methods to enhance screening and mutagenesis in Directed Evolution and help protein engineers to find proteins that have better functionality. As a proof-of-concept we use peptides that generate MRI contrast detected by the Chemical Exchange Saturation Transfer contrast mechanism. The evolutionary methods used in POET are described, and the performance of POET in different epochs of our experiments with Chemical Exchange Saturation Transfer contrast are studied. Our results indicate that a computational modelling tool like POET can help to find peptides with 400% better functionality than used before.




Abstract:Efficient optimization of resources is paramount to success in many problems faced today. In the field of operational research the efficient scheduling of employees; packing of vans; routing of vehicles; logistics of airlines and transport of materials can be the difference between emission reduction or excess, profits or losses and feasibility or unworkable solutions. The video game Factorio, by Wube Software, has a myriad of problems which are analogous to such real-world problems, and is a useful simulator for developing solutions for these problems. In this paper we define the logistic transport belt problem and define mathematical integer programming model of it. We developed an interface to allow optimizers in any programming language to interact with Factorio, and we provide an initial benchmark of logistic transport belt problems. We present results for Simulated Annealing, quick Genetic Programming and Evolutionary Reinforcement Learning, three different meta-heuristic techniques to optimize this novel problem.