


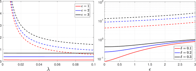
Abstract:Data-processing is a desired property of classical and quantum divergences and information measures. In information theory, the contraction coefficient measures how much the distinguishability of quantum states decreases when they are transmitted through a quantum channel, establishing linear strong data-processing inequalities (SDPI). However, these linear SDPI are not always tight and can be improved in most of the cases. In this work, we establish non-linear SDPI for quantum hockey-stick divergence for noisy channels that satisfy a certain noise criterion. We also note that our results improve upon existing linear SDPI for quantum hockey-stick divergences and also non-linear SDPI for classical hockey-stick divergence. We define $F_γ$ curves generalizing Dobrushin curves for the quantum setting while characterizing SDPI for the sequential composition of heterogeneous channels. In addition, we derive reverse-Pinsker type inequalities for $f$-divergences with additional constraints on hockey-stick divergences. We show that these non-linear SDPI can establish tighter finite mixing times that cannot be achieved through linear SDPI. Furthermore, we find applications of these in establishing stronger privacy guarantees for the composition of sequential private quantum channels when privacy is quantified by quantum local differential privacy.




Abstract:In classical information theory, the Doeblin coefficient of a classical channel provides an efficiently computable upper bound on the total-variation contraction coefficient of the channel, leading to what is known as a strong data-processing inequality. Here, we investigate quantum Doeblin coefficients as a generalization of the classical concept. In particular, we define various new quantum Doeblin coefficients, one of which has several desirable properties, including concatenation and multiplicativity, in addition to being efficiently computable. We also develop various interpretations of two of the quantum Doeblin coefficients, including representations as minimal singlet fractions, exclusion values, reverse max-mutual and oveloH informations, reverse robustnesses, and hypothesis testing reverse mutual and oveloH informations. Our interpretations of quantum Doeblin coefficients as either entanglement-assisted or unassisted exclusion values are particularly appealing, indicating that they are proportional to the best possible error probabilities one could achieve in state-exclusion tasks by making use of the channel. We also outline various applications of quantum Doeblin coefficients, ranging from limitations on quantum machine learning algorithms that use parameterized quantum circuits (noise-induced barren plateaus), on error mitigation protocols, on the sample complexity of noisy quantum hypothesis testing, on the fairness of noisy quantum models, and on mixing times of time-varying channels. All of these applications make use of the fact that quantum Doeblin coefficients appear in upper bounds on various trace-distance contraction coefficients of a channel. Furthermore, in all of these applications, our analysis using Doeblin coefficients provides improvements of various kinds over contributions from prior literature, both in terms of generality and being efficiently computable.
Abstract:In many quantum tasks, there is an unknown quantum object that one wishes to learn. An online strategy for this task involves adaptively refining a hypothesis to reproduce such an object or its measurement statistics. A common evaluation metric for such a strategy is its regret, or roughly the accumulated errors in hypothesis statistics. We prove a sublinear regret bound for learning over general subsets of positive semidefinite matrices via the regularized-follow-the-leader algorithm and apply it to various settings where one wishes to learn quantum objects. For concrete applications, we present a sublinear regret bound for learning quantum states, effects, channels, interactive measurements, strategies, co-strategies, and the collection of inner products of pure states. Our bound applies to many other quantum objects with compact, convex representations. In proving our regret bound, we establish various matrix analysis results useful in quantum information theory. This includes a generalization of Pinsker's inequality for arbitrary positive semidefinite operators with possibly different traces, which may be of independent interest and applicable to more general classes of divergences.