



Abstract:Rutting of asphalt pavements is a crucial design criterion in various pavement design guides. A good road transportation base can provide security for the transportation of oil and gas in road transportation. This study attempts to develop a robust artificial intelligence model to estimate different asphalt pavements' rutting depth clips, temperature, and load axes as primary characteristics. The experiment data were obtained from 19 asphalt pavements with different crude oil sources on a 2.038 km long full-scale field accelerated pavement test track (RIOHTrack, Road Track Institute) in Tongzhou, Beijing. In addition, this paper also proposes to build complex networks with different pavement rutting depths through complex network methods and the Louvain algorithm for community detection. The most critical structural elements can be selected from different asphalt pavement rutting data, and similar structural elements can be found. An extreme learning machine algorithm with residual correction (RELM) is designed and optimized using an independent adaptive particle swarm algorithm. The experimental results of the proposed method are compared with several classical machine learning algorithms, with predictions of Average Root Mean Squared Error, Average Mean Absolute Error, and Average Mean Absolute Percentage Error for 19 asphalt pavements reaching 1.742, 1.363, and 1.94\% respectively. The experiments demonstrate that the RELM algorithm has an advantage over classical machine learning methods in dealing with non-linear problems in road engineering. Notably, the method ensures the adaptation of the simulated environment to different levels of abstraction through the cognitive analysis of the production environment parameters.




Abstract:The human mental search (HMS) algorithm is a relatively recent population-based metaheuristic algorithm, which has shown competitive performance in solving complex optimisation problems. It is based on three main operators: mental search, grouping, and movement. In the original HMS algorithm, a clustering algorithm is used to group the current population in order to identify a promising region in search space, while candidate solutions then move towards the best candidate solution in the promising region. In this paper, we propose a novel HMS algorithm, HMS-OS, which is based on clustering in both objective and search space, where clustering in objective space finds a set of best candidate solutions whose centroid is then also used in updating the population. For further improvement, HMSOS benefits from an adaptive selection of the number of mental processes in the mental search operator. Experimental results on CEC-2017 benchmark functions with dimensionalities of 50 and 100, and in comparison to other optimisation algorithms, indicate that HMS-OS yields excellent performance, superior to those of other methods.




Abstract:Population-based metaheuristic algorithms have received significant attention in global optimisation. Human Mental Search (HMS) is a relatively recent population-based metaheuristic that has been shown to work well in comparison to other algorithms. However, HMS is time-consuming and suffers from relatively poor exploration. Having clustered the candidate solutions, HMS selects a winner cluster with the best mean objective function. This is not necessarily the best criterion to choose the winner group and limits the exploration ability of the algorithm. In this paper, we propose an improvement to the HMS algorithm in which the best bids from multiple clusters are used to benefit from enhanced exploration. We also use a one-step k-means algorithm in the clustering phase to improve the speed of the algorithm. Our experimental results show that MCS-HMS outperforms HMS as well as other population-based metaheuristic algorithms




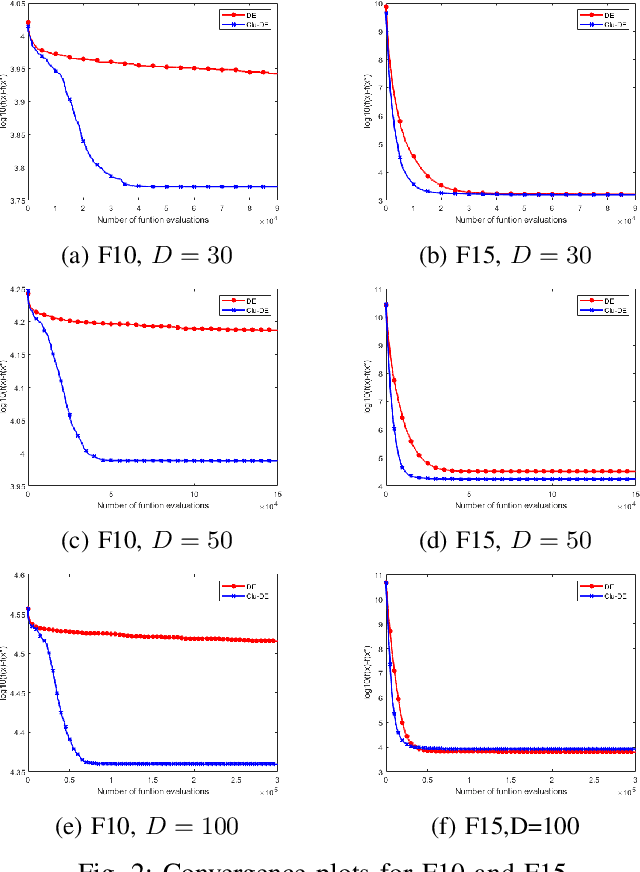
Abstract:Differential evolution (DE) is an effective population-based metaheuristic algorithm for solving complex optimisation problems. However, the performance of DE is sensitive to the mutation operator. In this paper, we propose a novel DE algorithm, Clu-DE, that improves the efficacy of DE using a novel clustering-based mutation operator. First, we find, using a clustering algorithm, a winner cluster in search space and select the best candidate solution in this cluster as the base vector in the mutation operator. Then, an updating scheme is introduced to include new candidate solutions in the current population. Experimental results on CEC-2017 benchmark functions with dimensionalities of 30, 50 and 100 confirm that Clu-DE yields improved performance compared to DE.