



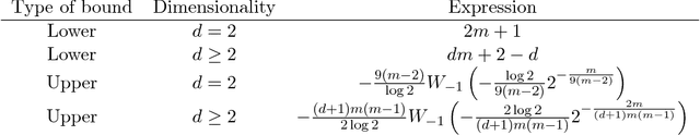
Abstract:In Statistical Learning, the Vapnik-Chervonenkis (VC) dimension is an important combinatorial property of classifiers. To our knowledge, no theoretical results yet exist for the VC dimension of edited nearest-neighbour (1NN) classifiers with reference set of fixed size. Related theoretical results are scattered in the literature and their implications have not been made explicit. We collect some relevant results and use them to provide explicit lower and upper bounds for the VC dimension of 1NN classifiers with a prototype set of fixed size. We discuss the implications of these bounds for the size of training set needed to learn such a classifier to a given accuracy. Further, we provide a new lower bound for the two-dimensional case, based on a new geometrical argument.




Abstract:A natural way of handling imbalanced data is to attempt to equalise the class frequencies and train the classifier of choice on balanced data. For two-class imbalanced problems, the classification success is typically measured by the geometric mean (GM) of the true positive and true negative rates. Here we prove that GM can be improved upon by instance selection, and give the theoretical conditions for such an improvement. We demonstrate that GM is non-monotonic with respect to the number of retained instances, which discourages systematic instance selection. We also show that balancing the distribution frequencies is inferior to a direct maximisation of GM. To verify our theoretical findings, we carried out an experimental study of 12 instance selection methods for imbalanced data, using 66 standard benchmark data sets. The results reveal possible room for new instance selection methods for imbalanced data.




Abstract:A keyframe summary, or "static storyboard", is a collection of frames from a video designed to summarise its semantic content. Many algorithms have been proposed to extract such summaries automatically. How best to evaluate these outputs is an important but little-discussed question. We review the current methods for matching frames between two summaries in the formalism of graph theory. Our analysis revealed different behaviours of these methods, which we illustrate with a number of case studies. Based on the results, we recommend a greedy matching algorithm due to Kannappan et al.




Abstract:Given the great interest in creating keyframe summaries from video, it is surprising how little has been done to formalise their evaluation and comparison. User studies are often carried out to demonstrate that a proposed method generates a more appealing summary than one or two rival methods. But larger comparison studies cannot feasibly use such user surveys. Here we propose a discrimination capacity measure as a formal way to quantify the improvement over the uniform baseline, assuming that one or more ground truth summaries are available. Using the VSUMM video collection, we examine 10 video feature types, including CNN and SURF, and 6 methods for matching frames from two summaries. Our results indicate that a simple frame representation through hue histograms suffices for the purposes of comparing keyframe summaries. We subsequently propose a formal protocol for comparing summaries when ground truth is available.