Abstract:This work explores the relationship between sensing accuracy and precoding coefficients for edge artificial intelligence (AI) inference in integrated sensing, communication and computation (ISCC) networks. We start by constructing a system model of an over-the-air-empowered ISCC network for edge AI inference, involving distributed edge sensors for feature extraction and an edge server for classification. Based on this model, we introduce a discriminant gain (DG) to characterize sensing accuracy and novelly derive an explicit function of the DG about precoding coefficients, giving valuable insights into precoding design. Guided by this, we propose an effective precoding algorithm to solve a non-convex DG-maximization problem. Simulation results verify the effectiveness and feasibility of the proposed design for edge inference in ISCC networks.
Abstract:Generative AI tools such as ChatGPT now provide novice programmers with unprecedented access to instant, personalized support. While this holds clear promise, their influence on students' metacognitive processes remains underexplored. Existing work has largely focused on correctness and usability, with limited attention to whether and how students' use of AI assistants supports or bypasses key metacognitive processes. This study addresses that gap by analyzing student-AI interactions through a metacognitive lens in university-level programming courses. We examined more than 10,000 dialogue logs collected over three years, complemented by surveys of students and educators. Our analysis focused on how prompts and responses aligned with metacognitive phases and strategies. Synthesizing these findings across data sources, we distill design considerations for AI-powered coding assistants that aim to support rather than supplant metacognitive engagement. Our findings provide guidance for developing educational AI tools that strengthen students' learning processes in programming education.



Abstract:Large Language Model (LLM) tools have demonstrated their potential to deliver high-quality assistance by providing instant, personalized feedback that is crucial for effective programming education. However, many of these tools operate independently from institutional Learning Management Systems, which creates a significant disconnect. This isolation limits the ability to leverage learning materials and exercise context for generating tailored, context-aware feedback. Furthermore, previous research on self-regulated learning and LLM support mainly focused on knowledge acquisition, not the development of important self-regulation skills. To address these challenges, we developed CodeRunner Agent, an LLM-based programming assistant that integrates the CodeRunner, a student-submitted code executing and automated grading plugin in Moodle. CodeRunner Agent empowers educators to customize AI-generated feedback by incorporating detailed context from lecture materials, programming questions, student answers, and execution results. Additionally, it enhances students' self-regulated learning by providing strategy-based AI responses. This integrated, context-aware, and skill-focused approach offers promising avenues for data-driven improvements in programming education.




Abstract:This paper investigates the issue of how to exploit target location distribution for multiple input multiple output (MIMO) radar waveform design. We consider a MIMO radar aiming to estimate the unknown and random angular location parameters of a point target, whose distribution information can be exploited by the radar. First, we establish the models of the MIMO radar system and the target location distribution. Based on the considered models, we propose the first category of target location distribution exploitation methods by analyzing the radar direction-of-angle (DoA) estimation performance and deriving a general form of posterior Cramer-Rao bound (PCRB) as the lower bound of the mean square error of DoA estimation. Following this, to explore more insights, we proposed the second category of target location distribution exploitation methods by introducing a novel radar metric, probability scaled beampattern (PSBP), from the perspective of radar beampattern. To compare the two methods, we formulate the PCRB and PSBP oriented radar waveform design problems and propose corresponding low-complexity and convergence-guaranteed algorithms to tackle them. Finally, numerical simulations are conducted in different scenarios to provide a comprehensive evaluation and comparison of the radar performance.



Abstract:In this letter, we investigate enhancing the physical layer security (PLS) for the dual-function radar-communication (DFRC) system with hybrid beamforming (HBF) architecture, where the base station (BS) achieves downlink communication and radar target detection simultaneously. We consider an eavesdropper intercepting the information transmitted from the BS to the downlink communication users with imperfectly known channel state information. Additionally, the location of the radar target is also imperfectly known by the BS. To enhance PLS in the considered DFRC system, we propose a novel HBF architecture, which introduces a new integrated sensing and security (I2S) symbol. The secure HBF design problem for DFRC is formulated by maximizing the minimum legitimate user communication rate subject to radar interference-plus-noise ratio, eavesdropping rate, hardware and power constraints. To solve this non-convex problem, we propose an alternating optimization based method to jointly optimize transmit and receive beamformers. Numerical simulation results validate the effectiveness of the proposed algorithm and show the superiority of the proposed I2S-aided HBF architecture for achieving DFRC and enhancing PLS.




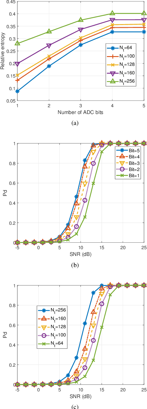
Abstract:Hybrid digital/analog architecture and low-resolution analog-to-digital/digital-to-analog converters (ADCs /DACs) are two low-cost implementations for large-scale millimeter wave (mmWave) systems. In this paper, we investigate the problem of constant-envelope transmit beamforming for large-scale multiple-input multiple-output (MIMO) radar system, where the transmit array adopts a hybrid digital/analog architecture with a small number of RF chains and the receive array adopts a fully digital architecture with low-resolution ADCs. We derive the relative entropy between the probability density functions associated with the two test hypotheses under low-resolution ADCs. We formulate our optimization problem by maximizing the relative entropy, subject to the constant envelope and orthogonality constraints. To suboptimally solve the resultant problem, a two-stage framework is developed. In the first stage, we optimize the transmit power at the directions of the target and clutter. In the second stage, an efficient iterative algorithm based on majorization-minimization is presented to obtain the constant-envelope beamformer according to the attained transmit power. Specifically, we apply a quadratic function as the minorizer, leading to a low-complexity solution at each iteration. In addition, to further facilitate low-cost implementation of the constant-envelope beamformer, we consider the problem of one-bit beamforming design and propose an efficient iterative method based on the Nesterov-like gradient method to solve it. Numerical simulations are provided to demonstrate the effectiveness of the proposed schemes.




Abstract:Indoor localization based on SIngle Of Fingerprint (SIOF) is rather susceptible to the changing environment, multipath, and non-line-of-sight (NLOS) propagation. Building SIOF is also a very time-consuming process. Recently, we first proposed a GrOup Of Fingerprints (GOOF) to improve the localization accuracy and reduce the burden of building fingerprints. However, the main drawback is the timeliness. In this paper, we propose a novel localization framework by Fusing A Group Of fingerprinTs (FAGOT) based on random forests. In the offline phase, we first build a GOOF from different transformations of the received signals of multiple antennas. Then, we design multiple GOOF strong classifiers based on Random Forests (GOOF-RF) by training each fingerprint in the GOOF. In the online phase, we input the corresponding transformations of the real measurements into these strong classifiers to obtain multiple independent decisions. Finally, we propose a Sliding Window aIded Mode-based (SWIM) fusion algorithm to balance the localization accuracy and time. Our proposed approaches can work better in an unknown indoor scenario. The burden of building fingerprints can also be reduced drastically. We demonstrate the performance of our algorithms through simulations and real experimental data using two Universal Software Radio Peripheral (USRP) platforms.