Abstract:A major hurdle in widespread deployment of UAVs (unmanned aerial vehicle) in existing communications infrastructure is the limited UAV onboard energy. Therefore, this study considers solar energy harvesting UAVs for wireless communications. In this context, we consider three dimensional position optimization of a solar-powered UAV relay that connects a distant sensor field to an optical ground station (OGS) for data processing. The integrated sensor-UAV-OGS network utilizes radio frequency band for sensor-to-UAV links and the optical band for the UAV-to-OGS feeder link. Since atmospheric conditions affect both the harvested solar energy as well as the optical wireless signal, this study tackles UAV position optimization problems under various channel conditions such as clouds, atmospheric turbulence and dirt. From this study, we discover that the optimum position of the UAV -- that maximizes the end-to-end channel capacity -- is heavily dependent on the atmospheric channel conditions.




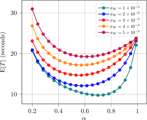
Abstract:For acquisition of narrow-beam free-space optical (FSO) terminals, a Global Positioning System (GPS) is typically required for coarse localization of the terminal. However, the GPS signal may be shadowed, or may not be present at all, especially in rough or unnameable terrains. In this study, we propose a lidar-assisted acquisition of an unmanned aerial vehicle (UAV) for FSO communications in a poor GPS environment. Such an acquisition system consists of a lidar subsystem and an FSO acquisition subsystem: The lidar subsystem is used for coarse acquisition of the UAV, whereas, the FSO subsystem is utilized for fine acquisition to obtain the UAV's accurate position. This study investigates the optimal allocation of energy between the lidar and FSO subsystems to minimize the acquisition time. Here, we minimize the average acquisition time, and maximize the cumulative distribution function of acquisition time for a fixed threshold. We learn that an optimal value of the energy allocation factor exists that provides the best performance for the proposed acquisition system.