



Abstract:Unmanned Aerial Vehicles (UAVs) have gained significant attention for improving wireless communication, especially in emergencies or as a complement to existing cellular infrastructure. This letter addresses the problem of efficiently covering a large convex quadrilateral using multiple UAVs, where each UAV generates elliptical coverage footprints based on its altitude and antenna tilt. The challenge is approached using circle-packing techniques within a unit square to arrange UAVs in an optimal configuration. Subsequently, a homography transformation is applied to map the unit square onto the quadrilateral area, ensuring that the UAVs' elliptical footprints cover the entire region. Numerical simulations demonstrate the effectiveness of the proposed method, providing insight into coverage density and optimal altitude configurations for different placement scenarios. The results highlight the scalability and potential for improving UAV-based communication systems, focusing on maximizing coverage efficiency in large areas with irregular shapes.




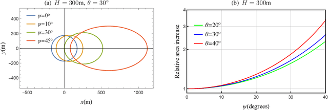
Abstract:Wireless transmitters (Txs) radiating directionally downwards often generate circular footprints on the ground. In certain scenarios, using elliptical cells can offer increased flexibility for providing user coverage, owing to the unique network characteristics. For instance, an elliptical footprint can be produced when a practical directional antenna with unequal azimuth and elevation half-power beamwidths is used in high-speed railway networks. Another common scenario involves the production of an elliptical footprint when an airborne Tx radiates at an angle by tilting its directional antenna by a few degrees. This paper aims to investigate, for the first time, the association between the random user location within an elliptical coverage area and the performance of a wireless communication link by considering these scenarios. We assume an unmanned aerial vehicle (UAV) as a Tx, although a tall cellular base station tower could also be employed without losing generality. To better understand the impact of random location, we derive relevant distance metrics and investigate the outage probability of the link for the two scenarios, taking both random terminal location and fading impairments into account. The findings may provide valuable insights into the performance of similar wireless systems.


Abstract:In this paper, we introduce a theoretical framework for analyzing the performance of multi-reconfigurable intelligence surface (RIS) empowered terahertz (THz) wireless systems subject to turbulence and stochastic beam misalignment. In more detail, we extract a closed-form expression for the outage probability that quantifies the joint impact of turbulence and misalignment as well as the effect of transceivers' hardware imperfections. Our results highlight the importance of accurately modeling both turbulence and misalignment when assessing the performance of multi-RIS-empowered THz wireless systems.




Abstract:Reconfigurable intelligent surfaces (RISs) empowered high-frequency (HF) wireless systems are expected to become the supporting pillar for several reliability and data rate hungry applications. Such systems are, however, sensitive to misalignment and atmospheric phenomena including turbulence. Most of the existing studies on the performance assessment of RIS-empowered wireless systems ignore the impact of the aforementioned phenomena. Motivated by this, the current contribution presents a theoretical framework for analyzing the performance of multi-RIS empowered HF wireless systems. More specifically, we statistically characterize the cascaded composite turbulence and misalignment channels in terms of probability density and cumulative distribution functions. Building upon the derived analytical expressions, we present novel closed-form formulas that quantify the joint impact of turbulence and misalignment on the outage performance for two scenarios of high interest namely cascaded multi-RIS-empowered free space optics (FSO) and terahertz (THz) wireless systems. In addition, we provide an insightful outage probability upper-bound for a third scenario that considers parallel multi-RIS-empowered FSO systems. Our results highlight the importance of accurately modeling both turbulence and misalignment when assessing the performance of such systems.