



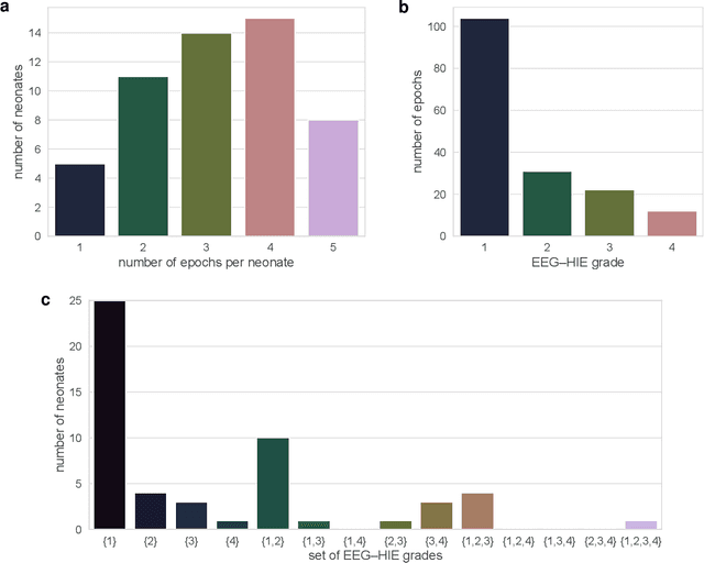
Abstract:This report describes a set of neonatal electroencephalogram (EEG) recordings graded according to the severity of abnormalities in the background pattern. The dataset consists of 169 hours of multichannel EEG from 53 neonates recorded in a neonatal intensive care unit. All neonates received a diagnosis of hypoxic-ischaemic encephalopathy (HIE), the most common cause of brain injury in full term infants. For each neonate, multiple 1-hour epochs of good quality EEG were selected and then graded for background abnormalities. The grading system assesses EEG attributes such as amplitude and frequency, continuity, sleep-wake cycling, symmetry and synchrony, and abnormal waveforms. Background severity was then categorised into 4 grades: normal or mildly abnormal, moderately abnormal, severely abnormal, and inactive EEG. The data can be used as a reference set of multi-channel EEG for neonates with HIE, for EEG training purposes, or for developing and evaluating automated grading algorithms.




Abstract:Electroencephalography (EEG) is an important clinical tool to capture sleep-wake cycling. It can also be used for grading injury, known as hypoxic-ischaemic encephalopathy(HIE), caused by lack of oxygen or blood to the brain during birth. Trac\'e alternant (TA) is a distinctive component of normal quiet sleep which consists of alternating periods of high-voltage activity (bursts) separated by lower-voltage activity (inter-bursts). This study presents an automated method to grade the severity of injury in HIE, using an automated method to first detect activity. The TA detector uses the output of an existing method to detect inter-bursts. Features are extracted from a processed output and then combined in a support vector machine (SVM). Next, we develop an HIE grading system using the TA detector by combining different features from the temporal organisation of the detected TA mask, again using an SVM. Training and testing for both models use a leave-one-baby-out cross-validation procedure, with model hyper-parameters selected from nested cross validations. The TA detector, tested on EEG from 71 healthy term neonates, has an accuracy of 79.1% (Cohen's \k{appa}=0.55). the grading system, tested on EEG from 54 term neonates in intensive care, has an accuracy of 81.5% (\k{appa}=0.74). These results validate how detecting the presence or absence of TA can be used to quantify the grade of HIE injury in neonatal EEG and open up the possibility of a clinically-meaningful grading system.




Abstract:A deep learning classifier for detecting seizures in neonates is proposed. This architecture is designed to detect seizure events from raw electroencephalogram (EEG) signals as opposed to the state-of-the-art hand engineered feature-based representation employed in traditional machine learning based solutions. The seizure detection system utilises only convolutional layers in order to process the multichannel time domain signal and is designed to exploit the large amount of weakly labelled data in the training stage. The system performance is assessed on a large database of continuous EEG recordings of 834h in duration; this is further validated on a held-out publicly available dataset and compared with two baseline SVM based systems. The developed system achieves a 56% relative improvement with respect to a feature-based state-of-the art baseline, reaching an AUC of 98.5%; this also compares favourably both in terms of performance and run-time. The effect of varying architectural parameters is thoroughly studied. The performance improvement is achieved through novel architecture design which allows more efficient usage of available training data and end-to-end optimisation from the front-end feature extraction to the back-end classification. The proposed architecture opens new avenues for the application of deep learning to neonatal EEG, where the performance becomes a function of the amount of training data with less dependency on the availability of precise clinical labels.




Abstract:EEG is the gold standard for seizure detection in the newborn infant, but EEG interpretation in the preterm group is particularly challenging; trained experts are scarce and the task of interpreting EEG in real-time is arduous. Preterm infants are reported to have a higher incidence of seizures compared to term infants. Preterm EEG morphology differs from that of term infants, which implies that seizure detection algorithms trained on term EEG may not be appropriate. The task of developing preterm specific algorithms becomes extra-challenging given the limited amount of annotated preterm EEG data available. This paper explores novel deep learning (DL) architectures for the task of neonatal seizure detection in preterm infants. The study tests and compares several approaches to address the problem: training on data from full-term infants; training on data from preterm infants; training on age-specific preterm data and transfer learning. The system performance is assessed on a large database of continuous EEG recordings of 575h in duration. It is shown that the accuracy of a validated term-trained EEG seizure detection algorithm, based on a support vector machine classifier, when tested on preterm infants falls well short of the performance achieved for full-term infants. An AUC of 88.3% was obtained when tested on preterm EEG as compared to 96.6% obtained when tested on term EEG. When re-trained on preterm EEG, the performance marginally increases to 89.7%. An alternative DL approach shows a more stable trend when tested on the preterm cohort, starting with an AUC of 93.3% for the term-trained algorithm and reaching 95.0% by transfer learning from the term model using available preterm data.




Abstract:Electroencephalography (EEG) is a valuable clinical tool for grading injury caused by lack of blood and oxygen to the brain during birth. This study presents a novel end-to-end architecture, using a deep convolutional neural network, that learns hierarchical representations within raw EEG data. The system classifies 4 grades of hypoxic-ischemic encephalopathy and is evaluated on a multi-channel EEG dataset of 63 hours from 54 newborns. The proposed method achieves a testing accuracy of 79.6% with one-step voting and 81.5% with two-step voting. These results show how a feature-free approach can be used to classify different grades of injury in newborn EEG with comparable accuracy to existing feature-based systems. Automated grading of newborn background EEG could help with the early identification of those infants in need of interventional therapies such as hypothermia.




Abstract:Electroencephalography (EEG) is an important clinical tool for reviewing sleep-wake cycling in neonates in intensive care. Trace alternant (TA)-a characteristic pattern of EEG activity during quiet sleep in term neonates-is defined by alternating periods of short-duration, high-voltage activity (bursts) separated by lower-voltage activity (inter-bursts). This study presents a novel approach for detecting TA activity by first detecting the inter-bursts and then processing the temporal map of the bursts and inter-bursts. EEG recordings from 72 healthy term neonates were used to develop and evaluate performance of 1) an inter-burst detection method which is then used for 2) detection of TA activity. First, multiple amplitude and spectral features were combined using a support vector machine (SVM) to classify bursts from inter-bursts within TA activity, resulting in a median area under the operating characteristic curve (AUC) of 0.95 (95% confidence interval, CI: 0.93 to 0.98). Second, post-processing of the continuous SVM output, the confidence score, was used to produce a TA envelope. This envelope was used to detect TA activity within the continuous EEG with a median AUC of 0.84 (95% CI: 0.80 to 0.88). These results validate how an inter-burst detection approach combined with post processing can be used to classify TA activity. Detecting the presence or absence of TA will help quantify disruption of the clinically important sleep-wake cycle.




Abstract:Electroencephalography (EEG) is an important clinical tool for grading injury caused by lack of oxygen or blood to the brain during birth. Characteristics of low-voltage waveforms, known as inter-bursts, are related to different grades of injury. This study assesses the suitability of an existing inter-burst detection method, developed from preterm infants born <30 weeks of gestational age, to detect inter-bursts in term infants. Different features from the temporal organisation of the inter-bursts are combined using a multi-layer perceptron (MLP) machine learning algorithm to classify four grades of injury in the EEG. We find that the best performing feature, percentage of inter-bursts, has an accuracy of 59.3%. Combining this with the maximum duration of inter-bursts in the MLP produces a testing accuracy of 77.8%, with similar performance to existing multi-feature methods. These results validate the use of the preterm detection method in term EEG and show how simple measures of the inter-burst interval can be used to classify different grades of injury.



Abstract:This study presents a novel, deep, fully convolutional architecture which is optimized for the task of EEG-based neonatal seizure detection. Architectures of different depths were designed and tested; varying network depth impacts convolutional receptive fields and the corresponding learned feature complexity. Two deep convolutional networks are compared with a shallow SVM-based neonatal seizure detector, which relies on the extraction of hand-crafted features. On a large clinical dataset, of over 800 hours of multichannel unedited EEG, containing 1389 seizure events, the deep 11-layer architecture significantly outperforms the shallower architectures, improving the AUC90 from 82.6% to 86.8%. Combining the end-to-end deep architecture with the feature-based shallow SVM further improves the AUC90 to 87.6%. The fusion of classifiers of different depths gives greatly improved performance and reduced variability, making the combined classifier more clinically reliable.




Abstract:This study presents a novel end-to-end architecture that learns hierarchical representations from raw EEG data using fully convolutional deep neural networks for the task of neonatal seizure detection. The deep neural network acts as both feature extractor and classifier, allowing for end-to-end optimization of the seizure detector. The designed system is evaluated on a large dataset of continuous unedited multi-channel neonatal EEG totaling 835 hours and comprising of 1389 seizures. The proposed deep architecture, with sample-level filters, achieves an accuracy that is comparable to the state-of-the-art SVM-based neonatal seizure detector, which operates on a set of carefully designed hand-crafted features. The fully convolutional architecture allows for the localization of EEG waveforms and patterns that result in high seizure probabilities for further clinical examination.