



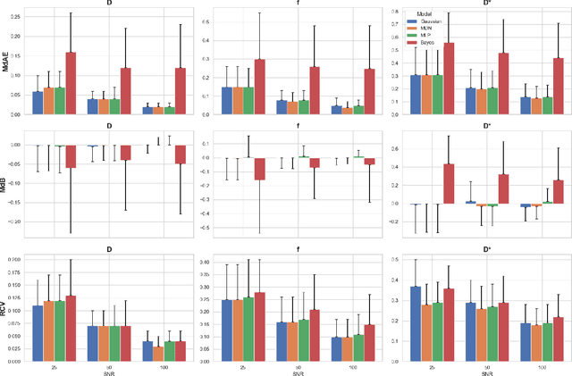
Abstract:Accurate estimation of intravoxel incoherent motion (IVIM) parameters from diffusion-weighted MRI remains challenging due to the ill-posed nature of the inverse problem and high sensitivity to noise, particularly in the perfusion compartment. In this work, we propose a probabilistic deep learning framework based on Deep Ensembles (DE) of Mixture Density Networks (MDNs), enabling estimation of total predictive uncertainty and decomposition into aleatoric (AU) and epistemic (EU) components. The method was benchmarked against non probabilistic neural networks, a Bayesian fitting approach and a probabilistic network with single Gaussian parametrization. Supervised training was performed on synthetic data, and evaluation was conducted on both simulated and two in vivo datasets. The reliability of the quantified uncertainties was assessed using calibration curves, output distribution sharpness, and the Continuous Ranked Probability Score (CRPS). MDNs produced more calibrated and sharper predictive distributions for the D and f parameters, although slight overconfidence was observed in D*. The Robust Coefficient of Variation (RCV) indicated smoother in vivo estimates for D* with MDNs compared to Gaussian model. Despite the training data covering the expected physiological range, elevated EU in vivo suggests a mismatch with real acquisition conditions, highlighting the importance of incorporating EU, which was allowed by DE. Overall, we present a comprehensive framework for IVIM fitting with uncertainty quantification, which enables the identification and interpretation of unreliable estimates. The proposed approach can also be adopted for fitting other physical models through appropriate architectural and simulation adjustments.




Abstract:Alzheimer's Disease (AD) is the world leading cause of dementia, a progressively impairing condition leading to high hospitalization rates and mortality. To optimize the diagnostic process, numerous efforts have been directed towards the development of deep learning approaches (DL) for the automatic AD classification. However, their typical black box outline has led to low trust and scarce usage within clinical frameworks. In this work, we propose two state-of-the art DL models, trained respectively on structural MRI (ResNet18) and brain connectivity matrixes (BC-GCN-SE) derived from diffusion data. The models were initially evaluated in terms of classification accuracy. Then, results were analyzed using an Explainable Artificial Intelligence (XAI) approach (Grad-CAM) to measure the level of interpretability of both models. The XAI assessment was conducted across 132 brain parcels, extracted from a combination of the Harvard-Oxford and AAL brain atlases, and compared to well-known pathological regions to measure adherence to domain knowledge. Results highlighted acceptable classification performance as compared to the existing literature (ResNet18: TPRmedian = 0.817, TNRmedian = 0.816; BC-GCN-SE: TPRmedian = 0.703, TNRmedian = 0.738). As evaluated through a statistical test (p < 0.05) and ranking of the most relevant parcels (first 15%), Grad-CAM revealed the involvement of target brain areas for both the ResNet18 and BC-GCN-SE models: the medial temporal lobe and the default mode network. The obtained interpretabilities were not without limitations. Nevertheless, results suggested that combining different imaging modalities may result in increased classification performance and model reliability. This could potentially boost the confidence laid in DL models and favor their wide applicability as aid diagnostic tools.