



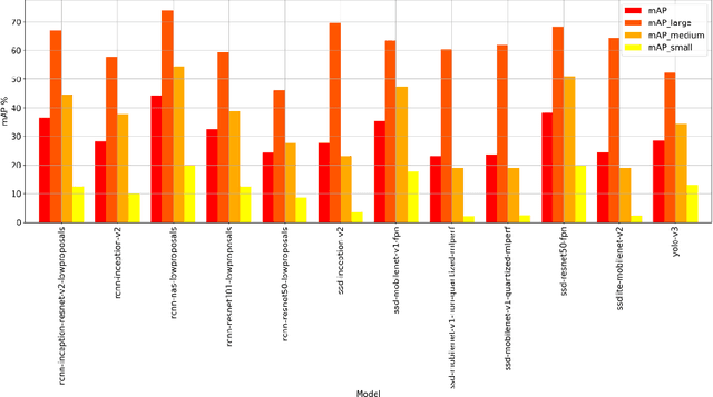
Abstract:In this paper, we want to show the potential benefit of a dynamic auto-tuning approach for the inference process in the Deep Neural Network (DNN) context, tackling the object detection challenge. We benchmarked different neural networks to find the optimal detector for the well-known COCO 17 database, and we demonstrate that even if we only consider the quality of the prediction there is not a single optimal network. This is even more evident if we also consider the time to solution as a metric to evaluate, and then select, the most suitable network. This opens to the possibility for an adaptive methodology to switch among different object detection networks according to run-time requirements (e.g. maximum quality subject to a time-to-solution constraint). Moreover, we demonstrated by developing an ad hoc oracle, that an additional proactive methodology could provide even greater benefits, allowing us to select the best network among the available ones given some characteristics of the processed image. To exploit this method, we need to identify some image features that can be used to steer the decision on the most promising network. Despite the optimization opportunity that has been identified, we were not able to identify a predictor function that validates this attempt neither adopting classical image features nor by using a DNN classifier.




Abstract:Since the mid-1990s, researchers have been trying to use machine-learning based approaches to solve a number of different compiler optimization problems. These techniques primarily enhance the quality of the obtained results and, more importantly, make it feasible to tackle two main compiler optimization problems: optimization selection (choosing which optimizations to apply) and phase-ordering (choosing the order of applying optimizations). The compiler optimization space continues to grow due to the advancement of applications, increasing number of compiler optimizations, and new target architectures. Generic optimization passes in compilers cannot fully leverage newly introduced optimizations and, therefore, cannot keep up with the pace of increasing options. This survey summarizes and classifies the recent advances in using machine learning for the compiler optimization field, particularly on the two major problems of (1) selecting the best optimizations and (2) the phase-ordering of optimizations. The survey highlights the approaches taken so far, the obtained results, the fine-grain classification among different approaches and finally, the influential papers of the field.