



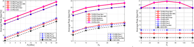
Abstract:The analysis and optimization of single intelligent reflecting surface (IRS)-assisted systems have been extensively studied, whereas little is known regarding multiple-IRS-assisted systems. This paper investigates the analysis and optimization of a double-IRS cooperatively assisted downlink system, where a multi-antenna base station (BS) serves a single-antenna user with the help of two multi-element IRSs, connected by an inter-IRS channel. The channel between any two nodes is modeled with Rician fading. The BS adopts the instantaneous CSI-adaptive maximum-ratio transmission (MRT) beamformer, and the two IRSs adopt a cooperative quasi-static phase shift design. The goal is to maximize the average achievable rate, which can be reflected by the average channel power of the equivalent channel between the BS and user, at a low phase adjustment cost and computational complexity. First, we obtain tractable expressions of the average channel power of the equivalent channel in the general Rician factor, pure line of sight (LoS), and pure non-line of sight (NLoS) regimes, respectively. Then, we jointly optimize the phase shifts of the two IRSs to maximize the average channel power of the equivalent channel in these regimes. The optimization problems are challenging non-convex problems. We obtain globally optimal closed-form solutions for some cases and propose computationally efficient iterative algorithms to obtain stationary points for the other cases. Next, we compare the computational complexity for optimizing the phase shifts and the optimal average channel power of the double-IRS cooperatively assisted system with those of a counterpart single-IRS-assisted system at a large number of reflecting elements in the three regimes. Finally, we numerically demonstrate notable gains of the proposed solutions over the existing solutions at different system parameters.