

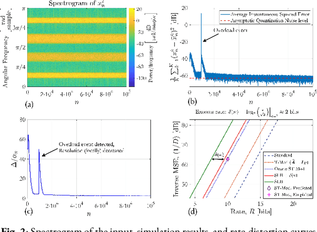
Abstract:In a growing number of applications, there is a need to digitize a (possibly high) number of correlated signals whose spectral characteristics are challenging for traditional analog-to-digital converters (ADCs). Examples, among others, include multiple-input multiple-output systems where the ADCs must acquire at once several signals at a very wide but sparsely and dynamically occupied bandwidth supporting diverse services. In such scenarios, the resolution requirements can be prohibitively high. As an alternative, the recently proposed modulo-ADC architecture can in principle require dramatically fewer bits in the conversion to obtain the target fidelity, but requires that spatiotemporal information be known and explicitly taken into account by the analog and digital processing in the converter, which is frequently impractical. Building on our recent work, we address this limitation and develop a blind version of the architecture that requires no such knowledge in the converter. In particular, it features an automatic modulo-level adjustment and a fully adaptive modulo-decoding mechanism, allowing it to asymptotically match the characteristics of the unknown input signal. Simulation results demonstrate the successful operation of the proposed algorithm.




Abstract:In a growing number of applications, there is a need to digitize signals whose spectral characteristics are challenging for traditional Analog-to-Digital Converters (ADCs). Examples, among others, include systems where the ADC must acquire at once a very wide but sparsely and dynamically occupied bandwidth supporting diverse services, as well as systems where the signal of interest is subject to strong narrowband co-channel interference. In such scenarios, the resolution requirements can be prohibitively high. As an alternative, the recently proposed modulo-ADC architecture can in principle require dramatically fewer bits in the conversation to obtain the target fidelity, but requires that information about the spectrum be known and explicitly taken into account by the analog and digital processing in the converter, which is frequently impractical. To address this limitation, we develop a blind version of the architecture that requires no such knowledge in the converter, without sacrificing performance. In particular, it features an automatic modulo-level adjustment and a fully adaptive modulo unwrapping mechanism, allowing it to asymptotically match the characteristics of the unknown input signal. In addition to detailed analysis, simulations demonstrate the attractive performance characteristics in representative settings.