Lab-STICC\_COMMEDIA


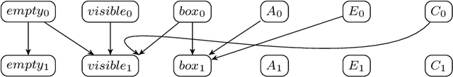
Abstract:We provide a unified framework in which the three emotions at the heart of narrative tension (curiosity, suspense and surprise) are formalized. This framework is built on nonmonotonic reasoning which allows us to compactly represent the default behavior of the world and to simulate the affective evolution of an agent receiving a story. After formalizing the notions of awareness, curiosity, surprise and suspense, we explore the properties induced by our definitions and study the computational complexity of detecting them. We finally propose means to evaluate these emotions' intensity for a given agent listening to a story.