Picture for Benjamin Callac

Benjamin Callac

Lab-STICC\_COMMEDIA

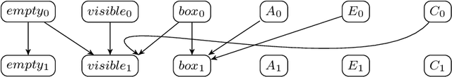
What killed the cat? Towards a logical formalization of curiosity (and suspense, and surprise) in narratives

Add code
Oct 11, 2024
Figure 1 for What killed the cat? Towards a logical formalization of curiosity (and suspense, and surprise) in narratives
Figure 2 for What killed the cat? Towards a logical formalization of curiosity (and suspense, and surprise) in narratives
Viaarxiv icon