Abstract:In this paper, a reconfigurable intelligent surface (RIS) assisted cell free massive MIMO (CFmMIMO) framework is designed to enhance physical layer security (PLS) and mitigate multi user (MU) interference in next generation wireless networks. A channel state information (CSI) based precoder is designed at the access point (AP) to suppress MU interference, enabling interference free reception for the legitimate users. To further enhance secrecy performance, we formulate a joint optimization problem that maximizes the secrecy sum rate using an alternating optimization (AO) framework, which iteratively updates the active beamforming at the AP, user power allocation, and the RIS phase shift matrix. The highly nonconvex problem is addressed under the Riemannian manifold optimization (RMO) framework and solved using a Riemannian Conjugate Gradient (RCG) algorithm for RIS phase shift design. Simulation results verify that the proposed framework effectively enhances the secrecy sum rate and eliminates interference, demonstrating its potential for secure and scalable CFmMIMO networks in dense wireless environments.
Abstract:This paper proposes a joint communication and indoor positioning (JCP) system based on visible light communication (VLC) designed for high-precision indoor environments. The framework supports 2D and 3D positioning using received signal strength (RSS) from pilot transmissions, enhanced by the radical axis theorem to improve accuracy under measurement uncertainties. Communication is achieved using spatial modulation (SM) with M-ary pulse amplitude modulation (PAM), where data is conveyed through the modulation symbol and the active light-emitting diode (LED) index, improving spectral efficiency while maintaining low complexity. A pilot-aided least squares (LS) estimator is employed for joint channel and dimming coefficient estimation, enabling robust symbol detection in multipath environments characterized by both line-of-sight (LOS) and diffuse non-line-of-sight (NLOS) components, modeled using Rician fading. The proposed system incorporates a dimming control mechanism to meet lighting requirements while maintaining reliable communication and positioning performance. Simulation results demonstrate sub-centimeter localization accuracy at high signal-to-noise ratios (SNRs) and bit error rates (BERs) below 10^{-6} for low-order PAM schemes. Additionally, comparative analysis across user locations reveals that positioning and communication performance improve significantly near the geometric center of the LED layout. These findings validate the effectiveness of the proposed system for future 6G indoor networks requiring integrated localization and communication under practical channel conditions.




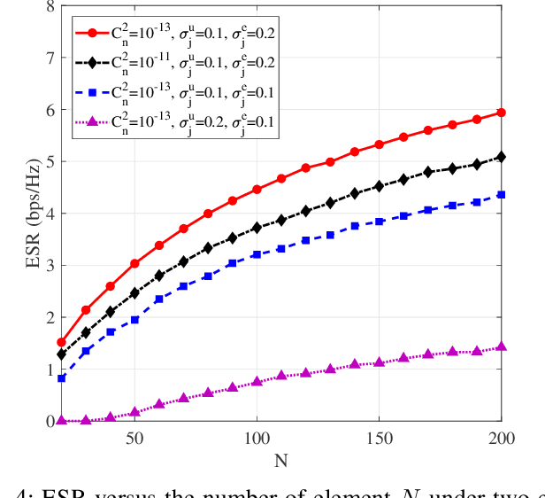
Abstract:The non-terrestrial networks (NTNs) are recognized as a key component to provide cost-effective and high-capacity ubiquitous connectivity in the future wireless communications. In this paper, we investigate the secure transmission in a terahertz (THz)-empowered reconfigurable intelligent surface (RIS)-assisted NTN (T-RANTN), which is composed of a low-Earth orbit satellite transmitter, an RIS-installed high-altitude platform (HAP) and two unmanned aerial vehicle (UAV) receivers, only one of which is trustworthy. An approximate ergodic secrecy rate (ESR) expression is derived when the atmosphere turbulence and pointing error due to the characteristics of THz as well as the phase errors resulting from finite precision of RIS and imperfect channel estimation are taken into account simultaneously. Furthermore, according to the statistical and perfect channel state information of the untrustworthy receiver, we optimize the phase shifts of RIS to maximize the lower bound of secrecy rate (SR) and instantaneous SR, respectively, by using semidefinite relaxation method. Simulation results show that both the approximate expression for the ESR and the optimization algorithms are serviceable, and even when the jitter standard variance of the trustworthy receiver is greater than that of the untrustworthy one, a positive SR can still be guaranteed.




Abstract:The limited bandwidth of optical wireless communication (OWC) front-end devices motivates the use of multiple-input-multiple-output (MIMO) techniques to enhance data rates. It is known that very high multiplexing gains could be achieved by spatial multiplexing (SMX) in exchange for exhaustive detection complexity. Alternatively, in spatial modulation (SM), a single light emitting diode (LED) is activated per time instance where information is carried by both the signal and the LED index. Since only an LED is active, both transmitter (TX) and receiver (RX) complexity reduces significantly while retaining the information transmission in the spatial domain. However, significant spectral efficiency losses occur in SM compared to SMX. In this paper, we propose a technique which adopts the advantages of both systems. Accordingly, the proposed flexible LED index modulation (FLIM) technique harnesses the inactive state of the LEDs as a transmit symbol. Therefore, the number of active LEDs changes in each transmission, unlike conventional techniques. Moreover, the system complexity is reduced by employing a linear minimum mean squared error (MMSE) equalizer and an angle perturbed receiver at the RX. Numerical results show that FLIM outperforms the reference systems by at least 6 dB in the low and medium/high spectral efficiency regions.




Abstract:To cope with the explosive traffic growth of next-generation wireless communications, it is necessary to design next-generation multiple access techniques that can provide higher spectral efficiency as well as larger-scale connectivity. As a promising candidate, power-domain non-orthogonal multiple access (NOMA) has been widely studied. In conventional power-domain NOMA, multiple users are multiplexed in the same time and frequency band by different preset power levels, which, however, may limit the spectral efficiency under practical finite alphabet inputs. Inspired by the concept of spatial modulation, we propose to solve this problem by encoding extra information bits into the power levels, and exploit different signal constellations to help the receiver distinguish between them. To convey this idea, termed power selection (PS)-NOMA, clearly, we consider a simple downlink two-user NOMA system with finite input constellations. Assuming maximum-likelihood detection, we derive closed-form approximate bit error ratio (BER) expressions for both users. The achievable rates of both users are also derived in closed form. Simulation results verify the analysis and show that the proposed PS-NOMA outperforms conventional NOMA in terms of BER and achievable rate.




Abstract:Visible light communications (VLC) is an emerging field in technology and research. Estimating the channel taps is a major requirement for designing reliable communication systems. Due to the nonlinear characteristics of the VLC channel those parameters cannot be derived easily. They can be calculated by means of software simulation. In this work, a novel methodology is proposed for the prediction of channel parameters using neural networks. Measurements conducted in a controlled experimental setup are used to train neural networks for channel tap prediction. Our experiment results indicate that neural networks can be effectively trained to predict channel taps under different environmental conditions.