



Abstract:Listeners of long-form talk-audio content, such as podcast episodes, often find it challenging to understand the overall structure and locate relevant sections. A practical solution is to divide episodes into chapters--semantically coherent segments labeled with titles and timestamps. Since most episodes on our platform at Spotify currently lack creator-provided chapters, automating the creation of chapters is essential. Scaling the chapterization of podcast episodes presents unique challenges. First, episodes tend to be less structured than written texts, featuring spontaneous discussions with nuanced transitions. Second, the transcripts are usually lengthy, averaging about 16,000 tokens, which necessitates efficient processing that can preserve context. To address these challenges, we introduce PODTILE, a fine-tuned encoder-decoder transformer to segment conversational data. The model simultaneously generates chapter transitions and titles for the input transcript. To preserve context, each input text is augmented with global context, including the episode's title, description, and previous chapter titles. In our intrinsic evaluation, PODTILE achieved an 11% improvement in ROUGE score over the strongest baseline. Additionally, we provide insights into the practical benefits of auto-generated chapters for listeners navigating episode content. Our findings indicate that auto-generated chapters serve as a useful tool for engaging with less popular podcasts. Finally, we present empirical evidence that using chapter titles can enhance effectiveness of sparse retrieval in search tasks.




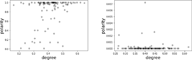
Abstract:We extend the artificial language learning experimental paradigm from psycholinguistics and apply it to pre-trained language models -- specifically, BERT (Devlin et al., 2019). We treat the model as a subject in an artificial language learning experimental setting: in order to learn the relation between two linguistic properties A and B, we introduce a set of new, non-existent, linguistic items, give the model information about their variation along property A, then measure to what extent the model learns property B for these items as a result of training. We show this method at work for degree modifiers (expressions like "slightly", "very", "rather", "extremely") and test the hypothesis that the degree expressed by modifiers (low, medium or high degree) is related to their sensitivity to sentence polarity (whether they show preference for affirmative or negative sentences or neither). Our experimental results are compatible with existing linguistic observations that relate degree semantics to polarity-sensitivity, including the main one: low degree semantics leads to positive polarity sensitivity (that is, to preference towards affirmative contexts). The method can be used in linguistics to elaborate on hypotheses and interpret experimental results, as well as for more insightful evaluation of linguistic representations in language models.