Center for Astrophysics | Harvard & Smithsonian




Abstract:Diffusion generative models have excelled at diverse image generation and reconstruction tasks across fields. A less explored avenue is their application to discriminative tasks involving regression or classification problems. The cornerstone of modern cosmology is the ability to generate predictions for observed astrophysical fields from theory and constrain physical models from observations using these predictions. This work uses a single diffusion generative model to address these interlinked objectives -- as a surrogate model or emulator for cold dark matter density fields conditional on input cosmological parameters, and as a parameter inference model that solves the inverse problem of constraining the cosmological parameters of an input field. The model is able to emulate fields with summary statistics consistent with those of the simulated target distribution. We then leverage the approximate likelihood of the diffusion generative model to derive tight constraints on cosmology by using the Hamiltonian Monte Carlo method to sample the posterior on cosmological parameters for a given test image. Finally, we demonstrate that this parameter inference approach is more robust to the addition of noise than baseline parameter inference networks.




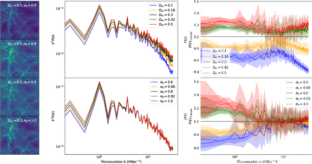
Abstract:Cosmological simulations play a crucial role in elucidating the effect of physical parameters on the statistics of fields and on constraining parameters given information on density fields. We leverage diffusion generative models to address two tasks of importance to cosmology -- as an emulator for cold dark matter density fields conditional on input cosmological parameters $\Omega_m$ and $\sigma_8$, and as a parameter inference model that can return constraints on the cosmological parameters of an input field. We show that the model is able to generate fields with power spectra that are consistent with those of the simulated target distribution, and capture the subtle effect of each parameter on modulations in the power spectrum. We additionally explore their utility as parameter inference models and find that we can obtain tight constraints on cosmological parameters.




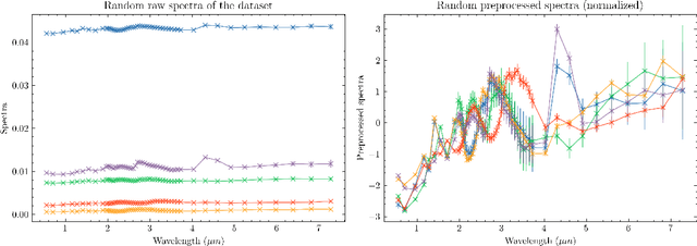
Abstract:Advancements in space telescopes have opened new avenues for gathering vast amounts of data on exoplanet atmosphere spectra. However, accurately extracting chemical and physical properties from these spectra poses significant challenges due to the non-linear nature of the underlying physics. This paper presents novel machine learning models developed by the AstroAI team for the Ariel Data Challenge 2023, where one of the models secured the top position among 293 competitors. Leveraging Normalizing Flows, our models predict the posterior probability distribution of atmospheric parameters under different atmospheric assumptions. Moreover, we introduce an alternative model that exhibits higher performance potential than the winning model, despite scoring lower in the challenge. These findings highlight the need to reevaluate the evaluation metric and prompt further exploration of more efficient and accurate approaches for exoplanet atmosphere spectra analysis. Finally, we present recommendations to enhance the challenge and models, providing valuable insights for future applications on real observational data. These advancements pave the way for more effective and timely analysis of exoplanet atmospheric properties, advancing our understanding of these distant worlds.
Abstract:Score-based generative models have emerged as alternatives to generative adversarial networks (GANs) and normalizing flows for tasks involving learning and sampling from complex image distributions. In this work we investigate the ability of these models to generate fields in two astrophysical contexts: dark matter mass density fields from cosmological simulations and images of interstellar dust. We examine the fidelity of the sampled cosmological fields relative to the true fields using three different metrics, and identify potential issues to address. We demonstrate a proof-of-concept application of the model trained on dust in denoising dust images. To our knowledge, this is the first application of this class of models to the interstellar medium.




Abstract:Wavelet scattering networks, which are convolutional neural networks (CNNs) with fixed filters and weights, are promising tools for image analysis. Imposing symmetry on image statistics can improve human interpretability, aid in generalization, and provide dimension reduction. In this work, we introduce a fast-to-compute, translationally invariant and rotationally equivariant wavelet scattering network (EqWS) and filter bank of wavelets (triglets). We demonstrate the interpretability and quantify the invariance/equivariance of the coefficients, briefly commenting on difficulties with implementing scale equivariance. On MNIST, we show that training on a rotationally invariant reduction of the coefficients maintains rotational invariance when generalized to test data and visualize residual symmetry breaking terms. Rotation equivariance is leveraged to estimate the rotation angle of digits and reconstruct the full rotation dependence of each coefficient from a single angle. We benchmark EqWS with linear classifiers on EMNIST and CIFAR-10/100, introducing a new second-order, cross-color channel coupling for the color images. We conclude by comparing the performance of an isotropic reduction of the scattering coefficients and RWST, a previous coefficient reduction, on an isotropic classification of magnetohydrodynamic simulations with astrophysical relevance.