



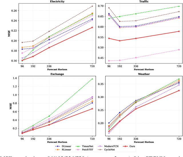
Abstract:We propose Lite-STGNN, a lightweight spatial-temporal graph neural network for long-term multivariate forecasting that integrates decomposition-based temporal modeling with learnable sparse graph structure. The temporal module applies trend-seasonal decomposition, while the spatial module performs message passing with low-rank Top-$K$ adjacency learning and conservative horizon-wise gating, enabling spatial corrections that enhance a strong linear baseline. Lite-STGNN achieves state-of-the-art accuracy on four benchmark datasets for horizons up to 720 steps, while being parameter-efficient and substantially faster to train than transformer-based methods. Ablation studies show that the spatial module yields 4.6% improvement over the temporal baseline, Top-$K$ enhances locality by 3.3%, and learned adjacency matrices reveal domain-specific interaction dynamics. Lite-STGNN thus offers a compact, interpretable, and efficient framework for long-term multivariate time series forecasting.
Abstract:In recent years, there has been an increased focus on early detection, prevention, and prediction of diseases. This, together with advances in sensor technology and the Internet of Things, has led to accelerated efforts in the development of personal health monitoring systems. Semantic technologies have emerged as an effective way to not only deal with the issue of interoperability associated with heterogeneous health sensor data, but also to represent expert health knowledge to support complex reasoning required for decision-making. This study evaluates the state of the art in the use of semantic technologies in sensor-based personal health monitoring systems. Using a systematic approach, a total of 40 systems representing the state of the art in the field are analysed. Through this analysis, six key challenges that such systems must overcome for optimal and effective health monitoring are identified: interoperability, context awareness, situation detection, situation prediction, decision support, and uncertainty handling. The study critically evaluates the extent to which these systems incorporate semantic technologies to deal with these challenges and identifies the prominent architectures, system development and evaluation methodologies that are used. The study provides a comprehensive mapping of the field, identifies inadequacies in the state of the art, and provides recommendations for future research directions.
Abstract:In this paper, we discuss and explore the potential and relevance of recent developments in artificial intelligence (AI) and digital twins for health and well-being in low-resource African countries. Using an AI systems perspective, we review emerging trends in AI systems and digital twins and propose an initial augmented AI system architecture to illustrate how an AI system can work in conjunction with a 3D digital twin. We highlight scientific knowledge discovery, continual learning, pragmatic interoperability, and interactive explanation and decision-making as important research challenges for AI systems and digital twins.




Abstract:Recently, a hybrid Deep Neural Network (DNN) algorithm, TreNet was proposed for predicting trends in time series data. While TreNet was shown to have superior performance for trend prediction to other DNN and traditional ML approaches, the validation method used did not take into account the sequential nature of time series data sets and did not deal with model update. In this research we replicated the TreNet experiments on the same data sets using a walk-forward validation method and tested our optimal model over multiple independent runs to evaluate model stability. We compared the performance of the hybrid TreNet algorithm, on four data sets to vanilla DNN algorithms that take in point data, and also to traditional ML algorithms. We found that in general TreNet still performs better than the vanilla DNN models, but not on all data sets as reported in the original TreNet study. This study highlights the importance of using an appropriate validation method and evaluating model stability for evaluating and developing machine learning models for trend prediction in time series data.




Abstract:Recently, Deep Neural Network (DNN) algorithms have been explored for predicting trends in time series data. In many real world applications, time series data are captured from dynamic systems. DNN models must provide stable performance when they are updated and retrained as new observations becomes available. In this work we explore the use of automatic machine learning techniques to automate the algorithm selection and hyperparameter optimisation process for trend prediction. We demonstrate how a recent AutoML tool, specifically the HpBandSter framework, can be effectively used to automate DNN model development. Our AutoML experiments found optimal configurations that produced models that compared well against the average performance and stability levels of configurations found during the manual experiments across four data sets.




Abstract:Time series clustering is frequently used in the energy domain to generate representative energy consumption patterns of households, which can be used to construct customer archetypes for long term energy planning. Selecting the optimal set of clusters however requires extensive experimentation and domain knowledge, and typically relies on a combination of metrics together with additional expert guidance through visual inspection of the clustering results. This can be time consuming, subjective and difficult to reproduce. In this work we present an approach that uses competency questions to elicit expert knowledge and to specify the requirements for creating residential energy customer archetypes from energy meter data. The approach enabled a structured and formal cluster analysis process, while easing cluster evaluation and reducing the time to select an optimal cluster set that satisfies the application requirements. The usefulness of the selected cluster set is demonstrated in a use case application that reconstructs a customer archetype developed manually by experts.




Abstract:During cluster analysis domain experts and visual analysis are frequently relied on to identify the optimal clustering structure. This process tends to be adhoc, subjective and difficult to reproduce. This work shows how competency questions can be used to formalise expert knowledge and application requirements for context specific evaluation of a clustering application in the residential energy consumption sector.




Abstract:This article presents an agent architecture for controlling an autonomous agent in stochastic environments. The architecture combines the partially observable Markov decision process (POMDP) model with the belief-desire-intention (BDI) framework. The Hybrid POMDP-BDI agent architecture takes the best features from the two approaches, that is, the online generation of reward-maximizing courses of action from POMDP theory, and sophisticated multiple goal management from BDI theory. We introduce the advances made since the introduction of the basic architecture, including (i) the ability to pursue multiple goals simultaneously and (ii) a plan library for storing pre-written plans and for storing recently generated plans for future reuse. A version of the architecture without the plan library is implemented and is evaluated using simulations. The results of the simulation experiments indicate that the approach is feasible.