



Abstract:Fault detection and diagnosis of electrical motors are of utmost importance in ensuring the safe and reliable operation of several industrial systems. Detection and diagnosis of faults at the incipient stage allows corrective actions to be taken in order to reduce the severity of faults. The existing data-driven deep learning approaches for machine fault diagnosis rely extensively on huge amounts of labeled samples, where annotations are expensive and time-consuming. However, a major portion of unlabeled condition monitoring data is not exploited in the training process. To overcome this limitation, we propose a foundational model-based Active Learning framework that utilizes less amount of labeled samples, which are most informative and harnesses a large amount of available unlabeled data by effectively combining Active Learning and Contrastive Self-Supervised Learning techniques. It consists of a transformer network-based backbone model trained using an advanced nearest-neighbor contrastive self-supervised learning method. This approach empowers the backbone to learn improved representations of samples derived from raw, unlabeled vibration data. Subsequently, the backbone can undergo fine-tuning to address a range of downstream tasks, both within the same machines and across different machines. The effectiveness of the proposed methodology has been assessed through the fine-tuning of the backbone for multiple target tasks using three distinct machine-bearing fault datasets. The experimental evaluation demonstrates a superior performance as compared to existing state-of-the-art fault diagnosis methods with less amount of labeled data.




Abstract:A majority of recent advancements related to the fault diagnosis of electrical motors are based on the assumption that training and testing data are drawn from the same distribution. However, the data distribution can vary across different operating conditions during real-world operating scenarios of electrical motors. Consequently, this assumption limits the practical implementation of existing studies for fault diagnosis, as they rely on fully labelled training data spanning all operating conditions and assume a consistent distribution. This is because obtaining a large number of labelled samples for several machines across different fault cases and operating scenarios may be unfeasible. In order to overcome the aforementioned limitations, this work proposes a framework to develop a foundational model for fault diagnosis of electrical motors. It involves building a neural network-based backbone to learn high-level features using self-supervised learning, and then fine-tuning the backbone to achieve specific objectives. The primary advantage of such an approach is that the backbone can be fine-tuned to achieve a wide variety of target tasks using very less amount of training data as compared to traditional supervised learning methodologies. The empirical evaluation demonstrates the effectiveness of the proposed approach by obtaining more than 90\% classification accuracy by fine-tuning the backbone not only across different types of fault scenarios or operating conditions, but also across different machines. This illustrates the promising potential of the proposed approach for cross-machine fault diagnosis tasks in real-world applications.




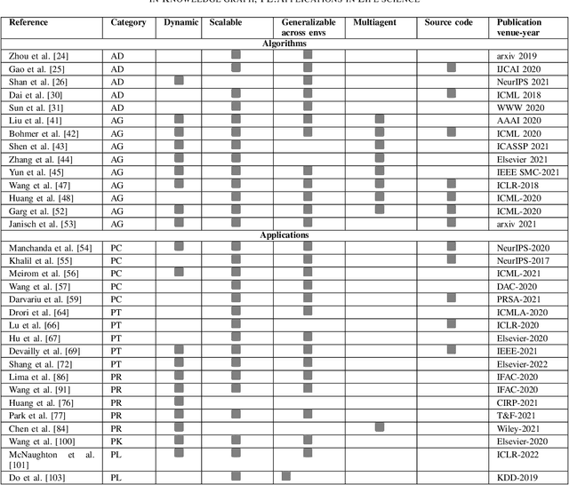
Abstract:Deep reinforcement learning (DRL) has empowered a variety of artificial intelligence fields, including pattern recognition, robotics, recommendation-systems, and gaming. Similarly, graph neural networks (GNN) have also demonstrated their superior performance in supervised learning for graph-structured data. In recent times, the fusion of GNN with DRL for graph-structured environments has attracted a lot of attention. This paper provides a comprehensive review of these hybrid works. These works can be classified into two categories: (1) algorithmic enhancement, where DRL and GNN complement each other for better utility; (2) application-specific enhancement, where DRL and GNN support each other. This fusion effectively addresses various complex problems in engineering and life sciences. Based on the review, we further analyze the applicability and benefits of fusing these two domains, especially in terms of increasing generalizability and reducing computational complexity. Finally, the key challenges in integrating DRL and GNN, and potential future research directions are highlighted, which will be of interest to the broader machine learning community.




Abstract:Graph Neural Networks (GNN) provide a powerful framework that elegantly integrates Graph theory with Machine learning for modeling and analysis of networked data. We consider the problem of quantifying the uncertainty in predictions of GNN stemming from modeling errors and measurement uncertainty. We consider aleatoric uncertainty in the form of probabilistic links and noise in feature vector of nodes, while epistemic uncertainty is incorporated via a probability distribution over the model parameters. We propose a unified approach to treat both sources of uncertainty in a Bayesian framework, where Assumed Density Filtering is used to quantify aleatoric uncertainty and Monte Carlo dropout captures uncertainty in model parameters. Finally, the two sources of uncertainty are aggregated to estimate the total uncertainty in predictions of a GNN. Results in the real-world datasets demonstrate that the Bayesian model performs at par with a frequentist model and provides additional information about predictions uncertainty that are sensitive to uncertainties in the data and model.




Abstract:Active Learning (AL) is a powerful tool to address modern machine learning problems with significantly fewer labeled training instances. However, implementation of traditional AL methodologies in practical scenarios is accompanied by multiple challenges due to the inherent assumptions. There are several hindrances, such as unavailability of labels for the AL algorithm at the beginning; unreliable external source of labels during the querying process; or incompatible mechanisms to evaluate the performance of Active Learner. Inspired by these practical challenges, we present a hybrid query strategy-based AL framework that addresses three practical challenges simultaneously: cold-start, oracle uncertainty and performance evaluation of Active Learner in the absence of ground truth. While a pre-clustering approach is employed to address the cold-start problem, the uncertainty surrounding the expertise of labeler and confidence in the given labels is incorporated to handle oracle uncertainty. The heuristics obtained during the querying process serve as the fundamental premise for accessing the performance of Active Learner. The robustness of the proposed AL framework is evaluated across three different environments and industrial settings. The results demonstrate the capability of the proposed framework to tackle practical challenges during AL implementation in real-world scenarios.