



Abstract:Implicit continuous models, such as functional models and implicit neural networks, are an increasingly popular method for replacing discrete data representations with continuous, high-order, and differentiable surrogates. These models offer new perspectives on the storage, transfer, and analysis of scientific data. In this paper, we introduce the first framework to directly extract complex topological features -- contours, Jacobi sets, and ridge-valley graphs -- from a type of continuous implicit model known as multivariate functional approximation (MFA). MFA replaces discrete data with continuous piecewise smooth functions. Given an MFA model as the input, our approach enables direct extraction of complex topological features from the model, without reverting to a discrete representation of the model. Our work is easily generalizable to any continuous implicit model that supports the queries of function values and high-order derivatives. Our work establishes the building blocks for performing topological data analysis and visualization on implicit continuous models.




Abstract:We develop an iterative assistant we call ChatVis that can synthetically generate Python scripts for data analysis and visualization using a large language model (LLM). The assistant allows a user to specify the operations in natural language, attempting to generate a Python script for the desired operations, prompting the LLM to revise the script as needed until it executes correctly. The iterations include an error detection and correction mechanism that extracts error messages from the execution of the script and subsequently prompts LLM to correct the error. Our method demonstrates correct execution on five canonical visualization scenarios, comparing results with ground truth. We also compared our results with scripts generated by several other LLMs without any assistance. In every instance, ChatVis successfully generated the correct script, whereas the unassisted LLMs failed to do so. The code is available on GitHub: https://github.com/tanwimallick/ChatVis/.




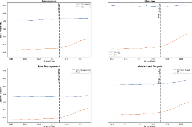
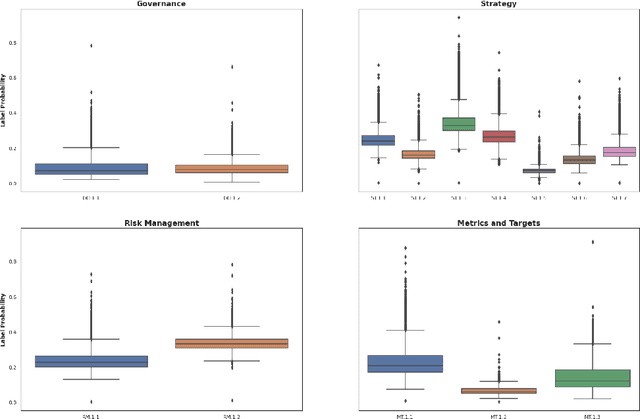
Abstract:We examine climate-related disclosures in a large sample of reports published by banks that officially endorsed the recommendations of the Task Force for Climate-related Financial Disclosures (TCFD). In doing so, we introduce a new application of the zero-shot text classification. By developing a set of fine-grained TCFD labels, we show that zero-shot analysis is a useful tool for classifying climate-related disclosures without further model training. Overall, our findings indicate that corporate climate-related disclosures grew dynamically after the launch of the TCFD recommendations. However, there are marked differences in the extent of reporting by recommended disclosure topic, suggesting that some recommendations have not yet been fully met. Our findings yield important conclusions for the design of climate-related disclosure frameworks.