



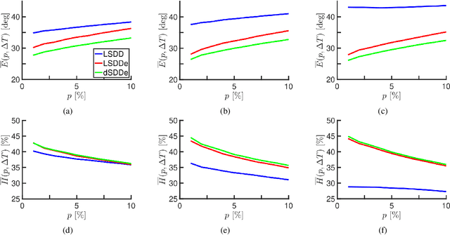
Abstract:Direction-of-arrival estimation of multiple speakers in a room is an important task for a wide range of applications. In particular, challenging environments with moving speakers, reverberation and noise, lead to significant performance degradation for current methods. With the aim of better understanding factors affecting performance and improving current methods, in this paper multi-speaker direction-of-arrival (DOA) estimation is investigated using a modified version of the local space domain distance (LSDD) algorithm in a noisy, dynamic and reverberant environment employing a wearable microphone array. This study utilizes the recently published EasyCom speech dataset, recorded using a wearable microphone array mounted on eyeglasses. While the original LSDD algorithm demonstrates strong performance in static environments, its efficacy significantly diminishes in the dynamic settings of the EasyCom dataset. Several enhancements to the LSDD algorithm are developed following a comprehensive performance and system analysis, which enable improved DOA estimation under these challenging conditions. These improvements include incorporating a weighted reliability approach and introducing a new quality measure that reliably identifies the more accurate DOA estimates, thereby enhancing both the robustness and accuracy of the algorithm in challenging environments.




Abstract:Speaker localization in a reverberant environment is a fundamental problem in audio signal processing. Many solutions have been developed to tackle this problem. However, previous algorithms typically assume a stationary environment in which both the microphone array and the sound sources are not moving. With the emergence of wearable microphone arrays, acoustic scenes have become dynamic with moving sources and arrays. This calls for algorithms that perform well in dynamic environments. In this article, we study the performance of a speaker localization algorithm in such an environment. The study is based on the recently published EasyCom speech dataset recorded in reverberant and noisy environments using a wearable array on glasses. Although the localization algorithm performs well in static environments, its performance degraded substantially when used on the EasyCom dataset. The paper presents performance analysis and proposes methods for improvement.