



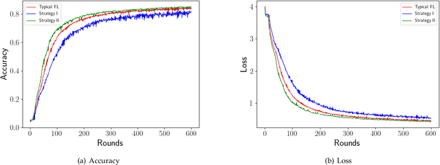
Abstract:Federated learning allows multiple participants to collaboratively train an efficient model without exposing data privacy. However, this distributed machine learning training method is prone to attacks from Byzantine clients, which interfere with the training of the global model by modifying the model or uploading the false gradient. In this paper, we propose a novel serverless federated learning framework Committee Mechanism based Federated Learning (CMFL), which can ensure the robustness of the algorithm with convergence guarantee. In CMFL, a committee system is set up to screen the uploaded local gradients. The committee system selects the local gradients rated by the elected members for the aggregation procedure through the selection strategy, and replaces the committee member through the election strategy. Based on the different considerations of model performance and defense, two opposite selection strategies are designed for the sake of both accuracy and robustness. Extensive experiments illustrate that CMFL achieves faster convergence and better accuracy than the typical Federated Learning, in the meanwhile obtaining better robustness than the traditional Byzantine-tolerant algorithms, in the manner of a decentralized approach. In addition, we theoretically analyze and prove the convergence of CMFL under different election and selection strategies, which coincides with the experimental results.