Abstract:Recent advances have introduced diffusion models for probabilistic streamflow forecasting, demonstrating strong early flood-warning skill. However, current implementations rely on recurrent Long Short-Term Memory (LSTM) backbones and single-step training objectives, which limit their ability to capture long-range dependencies and produce coherent forecast trajectories across lead times. To address these limitations, we developed HydroDiffusion, a diffusion-based probabilistic forecasting framework with a decoder-only state space model backbone. The proposed framework jointly denoises full multi-day trajectories in a single pass, ensuring temporal coherence and mitigating error accumulation common in autoregressive prediction. HydroDiffusion is evaluated across 531 watersheds in the contiguous United States (CONUS) in the CAMELS dataset. We benchmark HydroDiffusion against two diffusion baselines with LSTM backbones, as well as the recently proposed Diffusion-based Runoff Model (DRUM). Results show that HydroDiffusion achieves strong nowcast accuracy when driven by observed meteorological forcings, and maintains consistent performance across the full simulation horizon. Moreover, HydroDiffusion delivers stronger deterministic and probabilistic forecast skill than DRUM in operational forecasting. These results establish HydroDiffusion as a robust generative modeling framework for medium-range streamflow forecasting, providing both a new modeling benchmark and a foundation for future research on probabilistic hydrologic prediction at continental scales.
Abstract:Prediction of dynamic environmental variables in unmonitored sites remains a long-standing challenge for water resources science. The majority of the world's freshwater resources have inadequate monitoring of critical environmental variables needed for management. Yet, the need to have widespread predictions of hydrological variables such as river flow and water quality has become increasingly urgent due to climate and land use change over the past decades, and their associated impacts on water resources. Modern machine learning methods increasingly outperform their process-based and empirical model counterparts for hydrologic time series prediction with their ability to extract information from large, diverse data sets. We review relevant state-of-the art applications of machine learning for streamflow, water quality, and other water resources prediction and discuss opportunities to improve the use of machine learning with emerging methods for incorporating watershed characteristics into deep learning models, transfer learning, and incorporating process knowledge into machine learning models. The analysis here suggests most prior efforts have been focused on deep learning learning frameworks built on many sites for predictions at daily time scales in the United States, but that comparisons between different classes of machine learning methods are few and inadequate. We identify several open questions for time series predictions in unmonitored sites that include incorporating dynamic inputs and site characteristics, mechanistic understanding and spatial context, and explainable AI techniques in modern machine learning frameworks.




Abstract:We present an approach that uses a deep learning model, in particular, a MultiLayer Perceptron (MLP), for estimating the missing values of a variable in multivariate time series data. We focus on filling a long continuous gap (e.g., multiple months of missing daily observations) rather than on individual randomly missing observations. Our proposed gap filling algorithm uses an automated method for determining the optimal MLP model architecture, thus allowing for optimal prediction performance for the given time series. We tested our approach by filling gaps of various lengths (three months to three years) in three environmental datasets with different time series characteristics, namely daily groundwater levels, daily soil moisture, and hourly Net Ecosystem Exchange. We compared the accuracy of the gap-filled values obtained with our approach to the widely-used R-based time series gap filling methods ImputeTS and mtsdi. The results indicate that using an MLP for filling a large gap leads to better results, especially when the data behave nonlinearly. Thus, our approach enables the use of datasets that have a large gap in one variable, which is common in many long-term environmental monitoring observations.




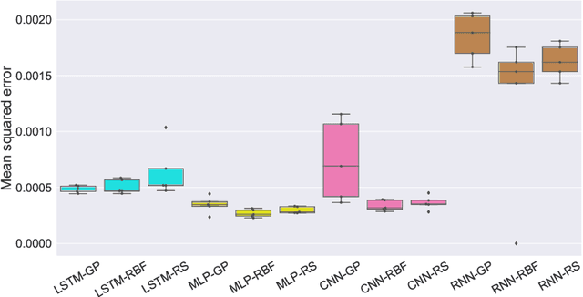
Abstract:Sustainable management of groundwater resources under changing climatic conditions require an application of reliable and accurate predictions of groundwater levels. Mechanistic multi-scale, multi-physics simulation models are often too hard to use for this purpose, especially for groundwater managers who do not have access to the complex compute resources and data. Therefore, we analyzed the applicability and performance of four modern deep learning computational models for predictions of groundwater levels. We compare three methods for optimizing the models' hyperparameters, including two surrogate model-based algorithms and a random sampling method. The models were tested using predictions of the groundwater level in Butte County, California, USA, taking into account the temporal variability of streamflow, precipitation, and ambient temperature. Our numerical study shows that the optimization of the hyperparameters can lead to reasonably accurate performance of all models, but the "simplest" network, namely a multilayer perceptron (MLP) performs overall better for learning and predicting groundwater data than the more advanced long short-term memory or convolutional neural networks in terms of prediction accuracy and time-to-solution, making the MLP a suitable candidate for groundwater prediction.