



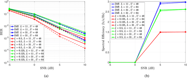
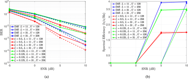
Abstract:In this paper, we present a differential modulation and detection scheme for use in the uplink of a system with a large number of antennas at the base station, each equipped with low-resolution analog-to-digital converters (ADCs). We derive an expression for the maximum likelihood (ML) detector of a differentially encoded phase information symbol received by a base station operating in the low-resolution ADC regime. We also present an equal performing reduced complexity receiver for detecting the phase information. To increase the supported data rate, we also present a maximum likelihood expression to detect differential amplitude phase shift keying symbols with low-resolution ADCs. We note that the derived detectors are unable to detect the amplitude information. To overcome this limitation, we use the Bussgang Theorem and the Central Limit Theorem (CLT) to develop two detectors capable of detecting the amplitude information. We numerically show that while the first amplitude detector requires multiple quantization bits for acceptable performance, similar performance can be achieved using one-bit ADCs by grouping the receive antennas and employing variable quantization levels (VQL) across distinct antenna groups. We validate the performance of the proposed detectors through simulations and show a comparison with corresponding coherent detectors. Finally, we present a complexity analysis of the proposed low-resolution differential detectors



Abstract:This article presents a differential detection scheme for the uplink of a massive MIMO system that employs one-bit quantizers on each receive antenna. We focus on the detection of differential amplitude and phase shift keying symbols and we use the Bussgang theorem to express the quantized received signal in terms of quantized signals received during previous channel uses. Subsequently, we derive the maximum likelihood detector for the differentially encoded amplitude and phase information symbols. We note that while the one-bit detector can decode the differentially encoded phase information symbols, it fails to decode the differentially encoded amplitude information. To decode the amplitude information, we present a one-bit variable quantization level (VQL) system and train a deep neural network to perform two-symbol differential amplitude detection. Through Monte-Carlo simulations, we empirically validate the performance of the proposed amplitude and phase detectors. The presented numerical results show that the spectral efficiency attained in one-bit differential systems is better than the spectral efficiency attained in one-bit coherent systems