



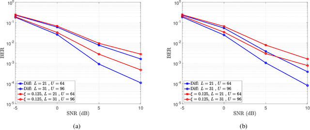
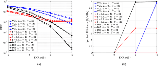
In this paper, we present a differential modulation and detection scheme for use in the uplink of a system with a large number of antennas at the base station, each equipped with low-resolution analog-to-digital converters (ADCs). We derive an expression for the maximum likelihood (ML) detector of a differentially encoded phase information symbol received by a base station operating in the low-resolution ADC regime. We also present an equal performing reduced complexity receiver for detecting the phase information. To increase the supported data rate, we also present a maximum likelihood expression to detect differential amplitude phase shift keying symbols with low-resolution ADCs. We note that the derived detectors are unable to detect the amplitude information. To overcome this limitation, we use the Bussgang Theorem and the Central Limit Theorem (CLT) to develop two detectors capable of detecting the amplitude information. We numerically show that while the first amplitude detector requires multiple quantization bits for acceptable performance, similar performance can be achieved using one-bit ADCs by grouping the receive antennas and employing variable quantization levels (VQL) across distinct antenna groups. We validate the performance of the proposed detectors through simulations and show a comparison with corresponding coherent detectors. Finally, we present a complexity analysis of the proposed low-resolution differential detectors