Abstract:In this paper, we propose a learning-based detection framework for uplink massive multiple-input and multiple-output (MIMO) systems with one-bit analog-to-digital converters. The learning-based detection only requires counting the occurrences of the quantized outputs of -1 and +1 for estimating a likelihood probability at each antenna. Accordingly, the key advantage of this approach is to perform maximum likelihood detection without explicit channel estimation which has been one of the primary challenges of one-bit quantized systems. The learning in the high signal-to-noise ratio (SNR) regime, however, needs excessive training to estimate the extremely small likelihood probabilities. To address this drawback, we propose a dither-and-learning technique to estimate likelihood functions from dithered signals. First, we add a dithering signal to artificially decrease the SNR and then infer the likelihood function from the quantized dithered signals by using an SNR estimate derived from a deep neural network-based offline estimator. We extend our technique by developing an adaptive dither-and-learning method that updates the dithering power according the patterns observed in the quantized dithered signals. The proposed framework is also applied to state-of-the-art channel-coded MIMO systems by computing a bit-wise and user-wise log-likelihood ratio from the refined likelihood probabilities. Simulation results validate the detection performance of the proposed methods in both uncoded and coded systems.
Abstract:We propose an adaptive learning-based framework for uplink massive multiple-input multiple-output (MIMO) systems with one-bit analog-to-digital converters. Learning-based detection does not need to estimate channels, which overcomes a key drawback in one-bit quantized systems. During training, learning-based detection suffers at high signal-to-noise ratio (SNR) because observations will be biased to +1 or -1 which leads to many zero-valued empirical likelihood functions. At low SNR, observations vary frequently in value but the high noise power makes capturing the effect of the channel difficult. To address these drawbacks, we propose an adaptive dithering-and-learning method. During training, received values are mixed with dithering noise whose statistics are known to the base station, and the dithering noise power is updated for each antenna element depending on the observed pattern of the output. We then use the refined probabilities in the one-bit maximum likelihood detection rule. Simulation results validate the detection performance of the proposed method vs. our previous method using fixed dithering noise power as well as zero-forcing and optimal ML detection both of which assume perfect channel knowledge.




Abstract:In this paper, we investigate multicell-coordinated beamforming for large-scale multiple-input multipleoutput (MIMO) orthogonal frequency-division multiplexing (OFDM) communications with low-resolution data converters. In particular, we seek to minimize the total transmit power of the network under received signal-to-quantization-plus-interference-and-noise ratio constraints while minimizing per-antenna transmit power. Our primary contributions are (1) formulating the quantized downlink (DL) OFDM antenna power minimax problem and deriving its associated dual problem, (2) showing strong duality and interpreting the dual as a virtual quantized uplink (UL) OFDM problem, and (3) developing an iterative minimax algorithm to identify a feasible solution based on the dual problem with performance validation through simulations. Specifically, the dual problem requires joint optimization of virtual UL transmit power and noise covariance matrices. To solve the problem, we first derive the optimal dual solution of the UL problem for given noise covariance matrices. Then, we use the solution to compute the associated DL beamformer. Subsequently, using the DL beamformer we update the UL noise covariance matrices via subgradient projection. Finally, we propose an iterative algorithm by repeating the steps for optimizing DL beamformers. Simulations validate the proposed algorithm in terms of the maximum antenna transmit power and peak-to-average-power ratio.


Abstract:In this work, we consider a full-duplex (FD) massive multiple-input multiple-output (MIMO) cellular network with low-resolution analog-to-digital converters (ADCs) and digital-to-analog converter (DACs). Our first contribution is to provide a unified framework for reverse link analysis where matched filters are applied at the FD base stations (BSs) under channel hardening. Second, we derive the expressions of the signal-to-quantization-plus-interference-plus-noise ratio (SQINR) for general and special cases. Finally, we quantify effects of quantization error, pilot contamination, and full duplexing for a hexagonal cell lattice on spectral efficiency and cumulative distribution function (CDF) to show that FD outperforms half duplex (HD) in a wide variety of scenarios.



Abstract:In this work, we consider a full-duplex (FD) massive multiple-input multiple-output (MIMO) cellular network with low resolution analog-to-digital converters (ADCs) and digital-to-analog converters (DACs). Our first contribution is to propose a unified framework for forward link analysis where matched filter precoders are applied at the FD base stations (BSs) under channel hardening. Second, we derive expressions for the signal-to-quantization-plus-interference-plus-noise ratio (SQINR) for general and special cases. Finally, we quantify effects of quantization error, pilot contamination, and full duplexing for a hexagonal cell lattice on spectral efficiency and cumulative distribution function (CDF) to show that FD outperforms half duplex (HD) in a wide variety of scenarios.
Abstract:We consider a wideband integrated access and backhaul system operating in full-duplex mode between the New Radio gNB donor and single user equipment. Due to high power consumption in millimeter wave systems, we use low-resolution analog-to-digital converters (ADCs) in the receivers. Our contributions include (1) hybrid beamformer to maximize sum spectral efficiency of the access and backhaul links by canceling self-interference and maximizing received power; (2) all-digital beamformer and upper bound on sum spectral efficiency; and (3) simulations to compare full vs. half duplex, finite vs. infinite ADC resolution, hybrid vs. all-digital beamforming, and the upper bound in spectral efficiency.




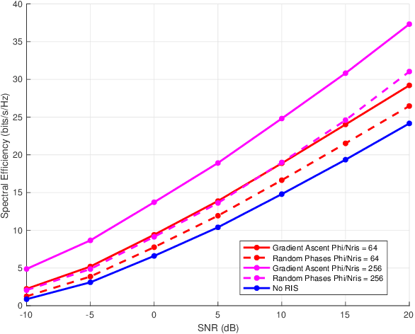
Abstract:Reconfigurable Intelligent Surfaces (RIS) are passive or semi-passive heterogeneous metasurfaces and consist of many tunable elements. RIS is gaining momentum as a promising new technology to enable transforming the propagation environment into controllable parameters. In this paper, we investigate the co-design of per-subcarrier power allocation matrices and multielement RIS phase shifts in downlink wideband MIMO transmission using 28 GHz frequency bands. Our contributions in improving RIS-aided links include (1) enhanced system modeling with pathloss and blockage modeling, and uniform rectangular array (URA) design, (2) design of gradient ascent co-design algorithm, and (3) asymptotic (Big O) complexity analysis of proposed algorithm and runtime complexity evaluation.




Abstract:In this paper, we provide an analytical framework for full-duplex (FD) massive multiple-input multiple-output (MIMO) cellular networks with low resolution analog-to-digital and digital-to-analog converters (ADCs and DACs). Matched filters are employed at the FD base stations (BSs) at the transmit and receive sides. For both reverse and forward links, we derive the expressions of the signal-to-quantization-plus-interference-and-noise ratio (SQINR) for general and special cases. We further evaluate the outage probability and spectral efficiency for reverse and forward links, and quantify the effects of the quantization error, loopback self-interference and inter-user interference for cells arranged in a hexagonal lattice and Poisson Point Process (PPP) tessellations. Finally, we derive analytical expressions for spectral efficiency for asymptotic cases as well as for power scaling laws.




Abstract:Full-duplex (FD) systems have the capability to transmit and receive at the same time in the same frequency band. FD systems can reduce congestion and latency and improve coverage and spectral efficiency. As a relay, they can increase range and decrease outages. Full-duplex (FD) wireless systems have been emerging as a practical solution to provide high bandwidth, low latency, and big data processing in millimeter wave and Terahertz systems to support cellular networks, autonomous driving, platooning, advanced driving assistance and other systems. However, FD systems suffer from loopback self-interference that can swamp the analog-to-digital converters (ADCs) resulting in very low spectral efficiency. In this context, we consider a cellular system wherein uplink and downlink users independently communicate with FD base station. The proposed contributions are (1) three hybrid beamforming algorithms to cancel self-interference and increase the received power, and (2) evaluation of outage probability, spectral efficiency, and energy efficiency of the proposed algorithms. We consider full-digital beamforming and upper bound as benchmarks. Finally, we show the resiliency of Algorithm 2 against self-interference in comparison with Algorithms 1 and 3, as well as conventional approaches such as beam steering, angle search and singular value decomposition.




Abstract:In this work, we present a solution for coordinated beamforming for large-scale downlink (DL) communication systems with low-resolution data converters when employing a per-antenna power constraint that limits the maximum antenna power to alleviate hardware cost. To this end, we formulate and solve the antenna power minimax problem for the coarsely quantized DL system with target signal-to-interference-plus-noise ratio requirements. We show that the associated Lagrangian dual with uncertain noise covariance matrices achieves zero duality gap and that the dual solution can be used to obtain the primal DL solution. Using strong duality, we propose an iterative algorithm to determine the optimal dual solution, which is used to compute the optimal DL beamformer. We further update the noise covariance matrices using the optimal DL solution with an associated subgradient and perform projection onto the feasible domain. Through simulation, we evaluate the proposed method in maximum antenna power consumption and peak-to-average power ratio which are directly related to hardware efficiency.