



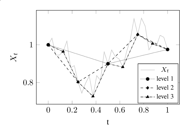
Abstract:Applications in quantitative finance such as optimal trade execution, risk management of options, and optimal asset allocation involve the solution of high dimensional and nonlinear Partial Differential Equations (PDEs). The connection between PDEs and systems of Forward-Backward Stochastic Differential Equations (FBSDEs) enables the use of advanced simulation techniques to be applied even in the high dimensional setting. Unfortunately, when the underlying application contains nonlinear terms, then classical methods both for simulation and numerical methods for PDEs suffer from the curse of dimensionality. Inspired by the success of deep learning, several researchers have recently proposed to address the solution of FBSDEs using deep learning. We discuss the dynamical systems point of view of deep learning and compare several architectures in terms of stability, generalization, and robustness. In order to speed up the computations, we propose to use a multilevel discretization technique. Our preliminary results suggest that the multilevel discretization method improves solutions times by an order of magnitude compared to existing methods without sacrificing stability or robustness.




Abstract:This report contains the details regarding our submission to the OffensEval 2019 (SemEval 2019 - Task 6). The competition was based on the Offensive Language Identification Dataset. We first discuss the details of the classifier implemented and the type of input data used and pre-processing performed. We then move onto critically evaluating our performance. We have achieved a macro-average F1-score of 0.76, 0.68, 0.54, respectively for Task a, Task b, and Task c, which we believe reflects on the level of sophistication of the models implemented. Finally, we will be discussing the difficulties encountered and possible improvements for the future.