



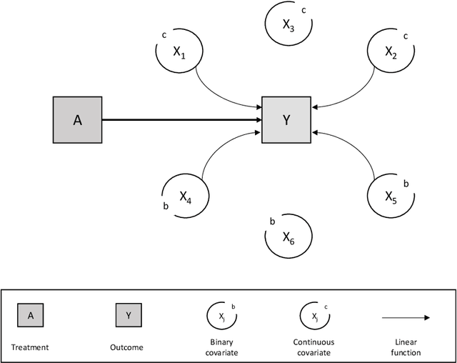
Abstract:In a clinical trial, the random allocation aims to balance prognostic factors between arms, preventing true confounders. However, residual differences due to chance may introduce near-confounders. Adjusting on prognostic factors is therefore recommended, especially because the related increase of the power. In this paper, we hypothesized that G-computation associated with machine learning could be a suitable method for randomized clinical trials even with small sample sizes. It allows for flexible estimation of the outcome model, even when the covariates' relationships with outcomes are complex. Through simulations, penalized regressions (Lasso, Elasticnet) and algorithm-based methods (neural network, support vector machine, super learner) were compared. Penalized regressions reduced variance but may introduce a slight increase in bias. The associated reductions in sample size ranged from 17\% to 54\%. In contrast, algorithm-based methods, while effective for larger and more complex data structures, underestimated the standard deviation, especially with small sample sizes. In conclusion, G-computation with penalized models, particularly Elasticnet with splines when appropriate, represents a relevant approach for increasing the power of RCTs and accounting for potential near-confounders.
Abstract:Obtaining continuously updated predictions is a major challenge for personalised medicine. Leveraging combinations of parametric regressions and machine learning approaches, the personalised online super learner (POSL) can achieve such dynamic and personalised predictions. We adapt POSL to predict a repeated continuous outcome dynamically and propose a new way to validate such personalised or dynamic prediction models. We illustrate its performance by predicting the convection volume of patients undergoing hemodiafiltration. POSL outperformed its candidate learners with respect to median absolute error, calibration-in-the-large, discrimination, and net benefit. We finally discuss the choices and challenges underlying the use of POSL.