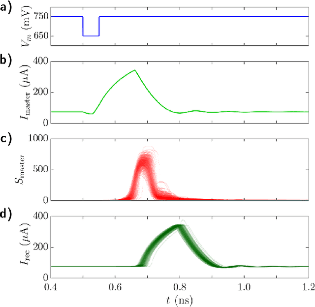
Abstract:Spiking neurons and neural networks constitute a fundamental building block for brain-inspired computing, which is posed to benefit significantly from photonic hardware implementations. In this work, we experimentally investigate an interconnected system based on an ultrafast spiking VCSEL-neuron and a silicon photonics (SiPh) integrated micro-ring resonator (MRR) weight bank, and demonstrate two different functional arrangements of these devices. First, we show that MRR weightbanks can be used in conjuction with the spiking VCSEL-neurons to perform amplitude weighting of sub-ns optical spiking signals. Second, we show that a continuous firing VCSEL-neuron can be directly modulated using a locking signal propagated through a single weighting micro-ring, and we utilize this functionality to perform optical spike firing rate-coding via thermal tuning of the micro-ring resonator. Given the significant track record of both integrated weight banks and photonic VCSEL-neurons, we believe these results demonstrate the viability of combining these two classes of devices for use in functional neuromorphic photonic systems.

Abstract:This work reports a nanostructure resonant tunnelling diode-photodetector (RTD-PD) device and demonstrates its operation as a controllable, optically-triggered excitable spike generator. The top contact layer of the device is designed with a nanopillar structure 500 nm in diameter) to restrain the injection current, yielding therefore lower energy operation for spike generation. We demonstrate experimentally the deterministic optical triggering of controllable and repeatable neuron-like spike patterns in the nanostructure RTD-PDs. Moreover, we show the device's ability to deliver spiking responses when biased in both regions adjacent to the negative differential conductance (NDC) region, the so-called 'peak' and 'valley' points of the current-voltage ($I$-$V$) characteristic. This work also demonstrates experimentally key neuron-like dynamical features in the nanostructure RTD-PD, such as a well-defined threshold (in input optical intensity) for spike firing, as well as the presence of spike firing refractory time. The optoelectronic and chip-scale character of the proposed system together with the deterministic, repeatable and well controllable nature of the optically-elicited spiking responses render this nanostructure RTD-PD element as a highly promising solution for high-speed, energy-efficient optoelectronic artificial spiking neurons for novel light-enabled neuromorphic computing hardware.





Abstract:Excitable optoelectronic devices represent one of the key building blocks for implementation of artificial spiking neurons in neuromorphic (brain-inspired) photonic systems. This work introduces and experimentally investigates an opto-electro-optical (O/E/O) artificial neuron built with a resonant tunnelling diode (RTD) coupled to a photodetector as a receiver and a vertical cavity surface emitting laser as a the transmitter. We demonstrate a well defined excitability threshold, above which this neuron produces 100 ns optical spiking responses with characteristic neural-like refractory period. We utilise its fan-in capability to perform in-device coincidence detection (logical AND) and exclusive logical OR (XOR) tasks. These results provide first experimental validation of deterministic triggering and tasks in an RTD-based spiking optoelectronic neuron with both input and output optical (I/O) terminals. Furthermore, we also investigate in theory the prospects of the proposed system for its nanophotonic implementation with a monolithic design combining a nanoscale RTD element and a nanolaser; therefore demonstrating the potential of integrated RTD-based excitable nodes for low footprint, high-speed optoelectronic spiking neurons in future neuromorphic photonic hardware.





Abstract:In this work, we introduce an optoelectronic spiking artificial neuron capable of operating at ultrafast rates ($\approx$ 100 ps/optical spike) and with low energy consumption ($<$ pJ/spike). The proposed system combines an excitable resonant tunnelling diode (RTD) element exhibiting negative differential conductance, coupled to a nanoscale light source (forming a master node) or a photodetector (forming a receiver node). We study numerically the spiking dynamical responses and information propagation functionality of an interconnected master-receiver RTD node system. Using the key functionality of pulse thresholding and integration, we utilize a single node to classify sequential pulse patterns and perform convolutional functionality for image feature (edge) recognition. We also demonstrate an optically-interconnected spiking neural network model for processing of spatiotemporal data at over 10 Gbps with high inference accuracy. Finally, we demonstrate an off-chip supervised learning approach utilizing spike-timing dependent plasticity for the RTD-enabled photonic spiking neural network. These results demonstrate the potential and viability of RTD spiking nodes for low footprint, low energy, high-speed optoelectronic realization of neuromorphic hardware.





Abstract:All-optical binary convolution with a photonic spiking vertical-cavity surface-emitting laser (VCSEL) neuron is proposed and demonstrated experimentally for the first time. Optical inputs, extracted from digital images and temporally encoded using rectangular pulses, are injected in the VCSEL neuron which delivers the convolution result in the number of fast (<100 ps long) spikes fired. Experimental and numerical results show that binary convolution is achieved successfully with a single spiking VCSEL neuron and that all-optical binary convolution can be used to calculate image gradient magnitudes to detect edge features and separate vertical and horizontal components in source images. We also show that this all-optical spiking binary convolution system is robust to noise and can operate with high-resolution images. Additionally, the proposed system offers important advantages such as ultrafast speed, high energy efficiency and simple hardware implementation, highlighting the potentials of spiking photonic VCSEL neurons for high-speed neuromorphic image processing systems and future photonic spiking convolutional neural networks.





Abstract:In this work, we propose a new technique that combines appearance and text in a Convolutional Neural Network (CNN), with the aim of detecting regions of different textual categories. We define a novel visual representation of the semantic meaning of text that allows a seamless integration in a standard CNN architecture. This representation, referred to as text-map, is integrated with the actual image to provide a much richer input to the network. Text-maps are colored with different intensities depending on the relevance of the words recognized over the image. Concretely, these words are previously extracted using Optical Character Recognition (OCR) and they are colored according to the probability of belonging to a textual category of interest. In this sense, this solution is especially relevant in the context of item coding for supermarket products, where different types of textual categories must be identified, such as ingredients or nutritional facts. We evaluated our solution in the proprietary item coding dataset of Nielsen Brandbank, which contains more than 10,000 images for train and 2,000 images for test. The reported results demonstrate that our approach focused on visual and textual data outperforms state-of-the-art algorithms only based on appearance, such as standard Faster R-CNN. These enhancements are reflected in precision and recall, which are improved in 42 and 33 points respectively.
