



Abstract:This paper considers the use of an intelligent reconfigurable surface (IRS) to aid wireless communication systems. The main goal is to compare this emerging technology with conventional decode-and-forward (DF) relaying. Unlike prior comparisons, we assume that electromagnetic interference (EMI), consisting of incoming waves from external sources, is present at the location where the IRS or DF relay are placed. The analysis, in terms of minimizing the total transmit power, shows that EMI has a strong impact on DF relay-assisted communications, even when the relaying protocol is optimized against EMI. It turns out that IRS-aided communications is more resilient to EMI. To beat an IRS, we show that the DF relay must use multiple antennas and actively suppress the EMI by beamforming.




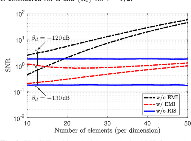
Abstract:The prospects of using a reconfigurable intelligent surface (RIS) to aid wireless communication systems have recently received much attention. Among the different use cases, the most popular one is where each element of the RIS scatters the incoming signal with a controllable phase-shift, without increasing its power. In prior literature, this setup has been analyzed by neglecting the electromagnetic interference, consisting of the inevitable incoming waves from external sources. In this letter, we provide a physically meaningful model for the electromagnetic interference that can be used as a baseline when evaluating RIS-aided communications. The model is used to show that electromagnetic interference has a non-negligible impact on communication performance, especially when the size of the RIS grows large. When the direct link is present (though with a relatively weak gain), the RIS can even reduce the communication performance. Importantly, it turns out that the SNR grows quadratically with the number of RIS elements only when the spatial correlation matrix of the electromagnetic interference is asymptotically orthogonal to that of the channel vector towards the intended receiver. Otherwise, the SNR only increases linearly.




Abstract:Multiple antenna arrays play a key role in wireless networks for communications but also localization and sensing. The use of large antenna arrays pushes towards the near-field propagation regime in which the wavefront is no longer plane but spherical. This allows to infer the position and orientation of an arbitrary source from the received signal without the need of using multiple anchor nodes. To understand the fundamental limits of large antenna arrays for localization, this paper fusions wave propagation theory with estimation theory, and computes the Cram\'er-Rao Bound (CRB) for the estimation of the three Cartesian coordinates of the source on the basis of the electromagnetic vector field, observed over a rectangular surface area. To simplify the analysis, we assume that the source is a dipole, whose center is located on the line perpendicular to the surface center, with an orientation a priori known. Numerical and asymptotic results are given to quantify the CRBs, and to gain insights into the effect of various system parameters on the ultimate estimation accuracy. It turns out that surfaces of practical size may guarantee a centimeter-level accuracy in the mmWave bands.