



Abstract:As autonomous vehicles become more prevalent, highly accurate and efficient systems are increasingly critical to improve safety, performance, and energy consumption. Efficient management of energy-reliability tradeoffs in these systems demands the ability to predict various conditions during vehicle operations. With the promising improvement of Large Language Models (LLMs) and the emergence of well-known models like ChatGPT, unique opportunities for autonomous vehicle-related predictions have been provided in recent years. This paper proposed MAPS using LLMs as map reader co-drivers to predict the vital parameters to set during the autonomous vehicle operation to balance the energy-reliability tradeoff. The MAPS method demonstrates a 20% improvement in navigation accuracy compared to the best baseline method. MAPS also shows 11% energy savings in computational units and up to 54% in both mechanical and computational units.




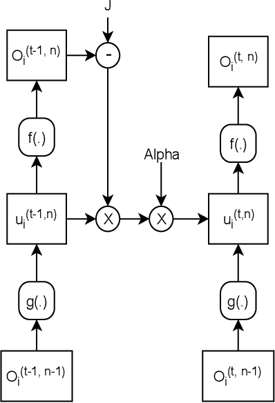
Abstract:Spiking neural networks (SNNs) can be used in low-power and embedded systems (such as emerging neuromorphic chips) due to their event-based nature. Also, they have the advantage of low computation cost in contrast to conventional artificial neural networks (ANNs), while preserving ANN's properties. However, temporal coding in layers of convolutional spiking neural networks and other types of SNNs has yet to be studied. In this paper, we provide insight into spatio-temporal feature extraction of convolutional SNNs in experiments designed to exploit this property. Our proposed shallow convolutional SNN outperforms state-of-the-art spatio-temporal feature extractor methods such as C3D, ConvLstm, and similar networks. Furthermore, we present a new deep spiking architecture to tackle real-world problems (in particular classification tasks), and the model achieved superior performance compared to other SNN methods on CIFAR10-DVS. It is also worth noting that the training process is implemented based on spatio-temporal backpropagation, and ANN to SNN conversion methods will serve no use.