



Abstract:In this paper, architectures for interplanetary communications that feature the use of a data relay are investigated. In the considered "two-leg" architecture, a spacecraft orbiting the Earth, or in orbit at a Lagrange point, receives data from a deep space probe (leg-1) and relays them towards ground (leg-2). Different wireless technologies for the interplanetary link, namely, radio frequencies above the Ka band and optical frequencies, are considered. Moreover, the cases of transparent and regenerative relaying as well as different different orbital configurations are addressed, offering a thorough analysis of such systems from different viewpoints. Results show that, under certain constraints in terms of pointing accuracy and onboard antenna size, the adoption of a two-leg architecture can achieve the data rates supported by direct space-to-Earth link configurations with remarkably smaller ground station antennas.




Abstract:The design of highly scalable multiple access schemes is a main challenge in the evolution towards future massive machine-type communications, where reliability and latency constraints must be ensured to a large number of uncoordinated devices. In this scenario, coded random access (CRA) schemes, where successive interference cancellation algorithms allow large improvements with respect to classical random access protocols, have recently attracted an increasing interest. Impressive performance can be potentially obtained by combining CRA with massive multiple input multiple output (MIMO). In this paper we provide an analysis of such schemes focusing on the effects of imperfect channel estimation on successive interference cancellation. Based on the analysis we then propose an innovative signal processing algorithm for CRA in massive MIMO systems.




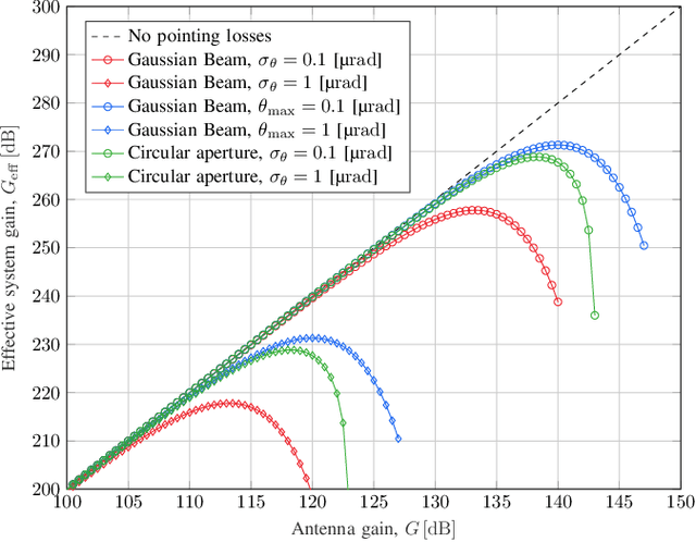
Abstract:Owing to the extremely narrow beams, a main issue in optical deep space communications is represented by miss-pointing errors, which may severely degrade the system performance and availability. In this paper, we address pointing losses in the case in which both the receiver and the transmitter are affected by angular errors. Pointing losses are evaluated through two approaches. The first approach is deterministic and only requires knowledge of a maximum angular error. The second approach requires knowledge of the angular error statistical distribution and tackles the problem from an outage probability viewpoint. These tools are then applied to analyze the impact of pointing losses in deep space optical links in which both terminals suffer from miss-pointing effects. The antenna gains are first optimized to maximize the effective system gain. The optimum antenna gains are then applied to evaluate maximum achievable ranges and to perform link design by means of optical link budgets.