



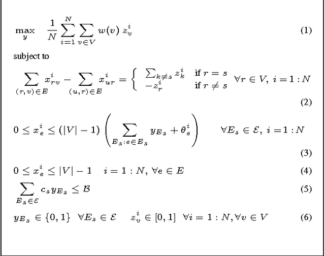
Many network optimization problems can be formulated as stochastic network design problems in which edges are present or absent stochastically. Furthermore, protective actions can guarantee that edges will remain present. We consider the problem of finding the optimal protection strategy under a budget limit in order to maximize some connectivity measurements of the network. Previous approaches rely on the assumption that edges are independent. In this paper, we consider a more realistic setting where multiple edges are not independent due to natural disasters or regional events that make the states of multiple edges stochastically correlated. We use Markov Random Fields to model the correlation and define a new stochastic network design framework. We provide a novel algorithm based on Sample Average Approximation (SAA) coupled with a Gibbs or XOR sampler. The experimental results on real road network data show that the policies produced by SAA with the XOR sampler have higher quality and lower variance compared to SAA with Gibbs sampler.