



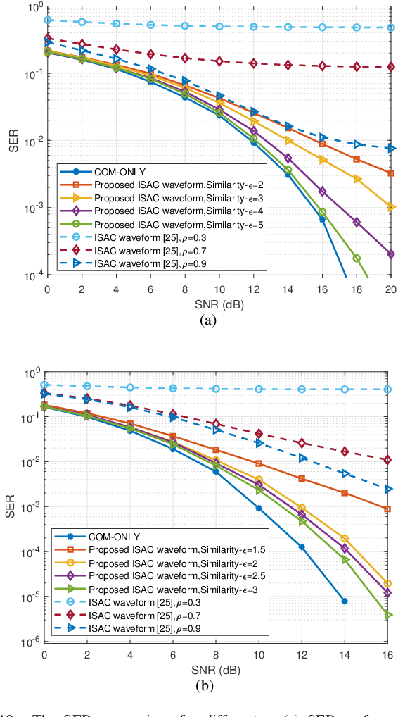
This paper focuses on an integrated sensing and communication (ISAC) system in the presence of signal-dependent modulated jamming (SDMJ). Our goal is to suppress jamming while carrying out simultaneous communications and sensing. We minimize the integrated sidelobe level (ISL) of the mismatch filter output for the transmitted waveform and the integrated level (IL) of the mismatch filter output for the jamming, under the constraints of the loss in-processing gain (LPG) and the peak-to-average power ratio (PAPR) of the transmitted waveform. Meanwhile, the similarity constraint is introduced for information-bearing transmit waveform. We develop a decoupled majorization minimization (DMM) algorithm to solve the proposed multi-constrained optimization problem. In contrast to the existing approaches, the proposed algorithm transforms the difficult optimization problem involving two variables into two parallel sub-problems with one variable, thus significantly speeding up the convergence rate. Furthermore, fast Fourier transform (FFT) is introduced to compute the closed-form solution of each sub-problem, giving rise to a greatly reduced computation complexity. Simulation results demonstrate the capabilities of the proposed ISAC system which strikes a proper trade-off among sensing and jamming suppression.