



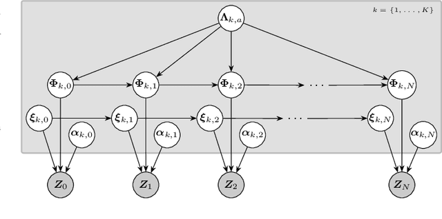
In this paper, we propose a direct multiobject tracking (MOT) approach for MIMO-radar signals that operates on raw sensor data via variational message passing (VMP). Unlike classical track-before-detect (TBD) methods, which often rely on simplified likelihood models and exclude nuisance parameters (e.g., object amplitudes, noise variance), our method adopts a superimposed signal model and employs a mean-field approximation to jointly estimate both object existence and object states. By considering correlations within in the radar signal due to closely spaced objects and jointly estimating nuisance parameters, the proposed method achieves robust performance for close-by objects and in low-signal-to-noise ratio (SNR) regimes. Our numerical evaluation based on MIMO-radar signals demonstrate that our VMP-based direct-MOT method outperforms a detect-then-track (DTT) pipeline comprising a super-resolution sparse Bayesian learning (SBL)-based estimation stage followed by classical MOT using global nearest neighbour data association and a Kalman filter.