



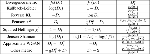
We relate the minimax game of generative adversarial networks (GANs) to finding the saddle points of the Lagrangian function for a convex optimization problem, where the discriminator outputs and the distribution of generator outputs play the roles of primal variables and dual variables, respectively. This formulation shows the connection between the standard GAN training process and the primal-dual subgradient methods for convex optimization. The inherent connection does not only provide a theoretical convergence proof for training GANs in the function space, but also inspires a novel objective function for training. The modified objective function forces the distribution of generator outputs to be updated along the direction according to the primal-dual subgradient methods. A toy example shows that the proposed method is able to resolve mode collapse, which in this case cannot be avoided by the standard GAN or Wasserstein GAN. Experiments on both Gaussian mixture synthetic data and real-world image datasets demonstrate the performance of the proposed method on generating diverse samples.