



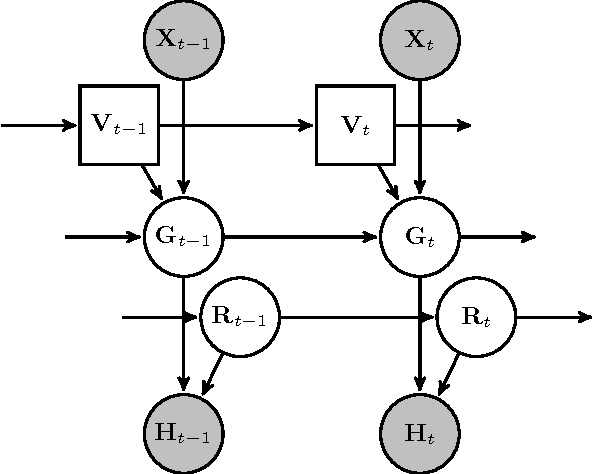
The visual focus of attention (VFOA) has been recognized as a prominent conversational cue. We are interested in estimating and tracking the VFOAs associated with multi-party social interactions. We note that in this type of situations the participants either look at each other or at an object of interest; therefore their eyes are not always visible. Consequently both gaze and VFOA estimation cannot be based on eye detection and tracking. We propose a method that exploits the correlation between eye gaze and head movements. Both VFOA and gaze are modeled as latent variables in a Bayesian switching state-space model. The proposed formulation leads to a tractable learning procedure and to an efficient algorithm that simultaneously tracks gaze and visual focus. The method is tested and benchmarked using two publicly available datasets that contain typical multi-party human-robot and human-human interactions.