



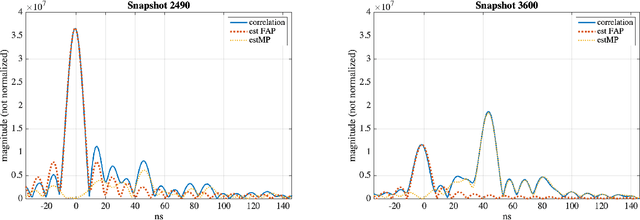
Physical effects such as reflection, refraction, and diffraction cause a radio signal to arrive from a transmitter to a receiver in multiple replicas that have different amplitude and rotation. Bandwidth-limited signals, such as positioning reference signals, have a limited time resolution. In reality, the signal is often reflected in the close vicinity of a transmitter and receiver, which causes the displacement of the observed peak from the true peak expected according to the line of sight (LOS) geometry between the transmitter and receiver. In this paper, we show that the existing channel model specified for performance evaluation within 3GPP fails to model the above phenomena. As a result, the simulation results deviate significantly from the measured values. Based on our measurement and simulation results, we propose a model for incorporating the signal reflection by obstacles in the vicinity of transmitter or receiver, so that the outcome of the model corresponds to the measurement made in such scenario.