



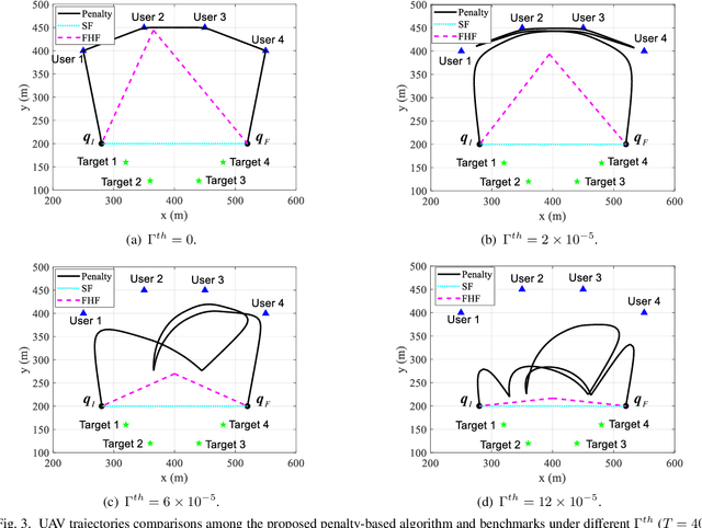
Unmanned aerial vehicle (UAV) is expected to revolutionize the existing integrated sensing and communication (ISAC) system and promise a more flexible joint design. Nevertheless, the existing works on ISAC mainly focus on exploring the performance of both functionalities simultaneously during the entire considered period, which may ignore the practical asymmetric sensing and communication requirements. In particular, always forcing sensing along with communication may make it is harder to balance between these two functionalities due to shared spectrum resources and limited transmit power. To address this issue, we propose a new integrated periodic sensing and communication mechanism for the UAV-enabled ISAC system to provide a more flexible trade-off between two integrated functionalities. Specifically, the system achievable rate is maximized via jointly optimizing UAV trajectory, user association, target sensing selection, and transmit beamforming, while meeting the sensing frequency and beam pattern gain requirement for the given targets. Despite that this problem is highly non-convex and involves closely coupled integer variables, we derive the closed-form optimal beamforming vector to dramatically reduce the complexity of beamforming design, and present a tight lower bound of the achievable rate to facilitate UAV trajectory design. Based on the above results, we propose a penalty-based algorithm to efficiently solve the considered problem. The optimal achievable rate and the optimal UAV location are analyzed under a special case of infinity number of antennas. Furthermore, we prove the structural symmetry between the optimal solutions in different ISAC frames without location constraints and propose an efficient algorithm for solving the problem with location constraints.