



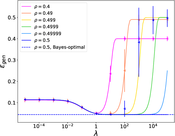
We consider a high-dimensional mixture of two Gaussians in the noisy regime where even an oracle knowing the centers of the clusters misclassifies a small but finite fraction of the points. We provide a rigorous analysis of the generalization error of regularized convex classifiers, including ridge, hinge and logistic regression, in the high-dimensional limit where the number $n$ of samples and their dimension $d$ go to infinity while their ratio is fixed to $\alpha= n/d$. We discuss surprising effects of the regularization that in some cases allows to reach the Bayes-optimal performances. We also illustrate the interpolation peak at low regularization, and analyze the role of the respective sizes of the two clusters.