



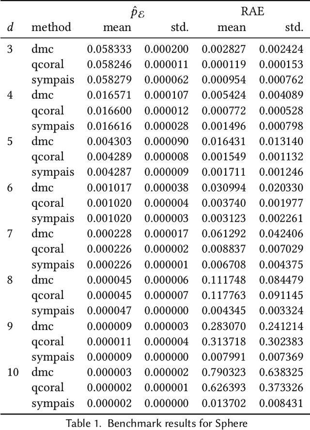
Probabilistic software analysis aims at quantifying the probability of a target event occurring during the execution of a program processing uncertain incoming data or written itself using probabilistic programming constructs. Recent techniques combine classic static analysis methods with inference procedure to obtain accurate quantification of the probability of rare target events, such as failures in a mission-critical system. However, current techniques face several scalability and applicability limitations when analyzing software processing with high-dimensional multivariate distributions. In this paper, we present SYMbolic Parallel Adaptive Importance Sampling (SYMPAIS), a new algorithm that combines symbolic execution with adaptive importance sampling to analyze probabilistic programs. Our method provides a general solution that scales to systems with high-dimensional inputs and demonstrates superior performance in quantifying rare events compared to prior work. Preliminary experimental results support the potential efficacy of our solution.