



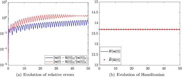
We present a numerical approach for approximating unknown Hamiltonian systems using observation data. A distinct feature of the proposed method is that it is structure-preserving, in the sense that it enforces conservation of the reconstructed Hamiltonian. This is achieved by directly approximating the underlying unknown Hamiltonian, rather than the right-hand-side of the governing equations. We present the technical details of the proposed algorithm and its error estimate, along with a practical de-noising procedure to cope with noisy data. A set of numerical examples are then presented to demonstrate the structure-preserving property and effectiveness of the algorithm.