



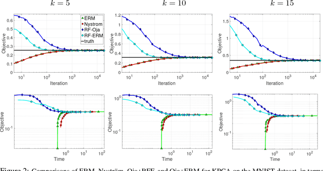
We study the statistical and computational aspects of kernel principal component analysis using random Fourier features and show that under mild assumptions, $O(\sqrt{n} \log n)$ features suffices to achieve $O(1/\epsilon^2)$ sample complexity. Furthermore, we give a memory efficient streaming algorithm based on classical Oja's algorithm that achieves this rate.