



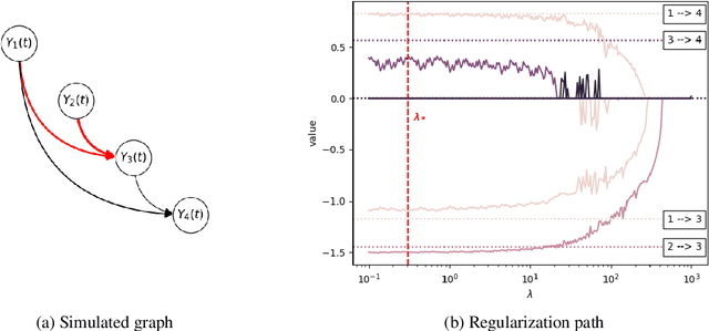
We develop and evaluate a structure learning algorithm for clinical time series. Clinical time series are multivariate time series observed in multiple patients and irregularly sampled, challenging existing structure learning algorithms. We assume that our times series are realizations of StructGP, a k-dimensional multi-output or multi-task stationary Gaussian process (GP), with independent patients sharing the same covariance function. StructGP encodes ordered conditional relations between time series, represented in a directed acyclic graph. We implement an adapted NOTEARS algorithm, which based on a differentiable definition of acyclicity, recovers the graph by solving a series of continuous optimization problems. Simulation results show that up to mean degree 3 and 20 tasks, we reach a median recall of 0.93% [IQR, 0.86, 0.97] while keeping a median precision of 0.71% [0.57-0.84], for recovering directed edges. We further show that the regularization path is key to identifying the graph. With StructGP, we proposed a model of time series dependencies, that flexibly adapt to different time series regularity, while enabling us to learn these dependencies from observations.