



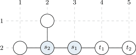
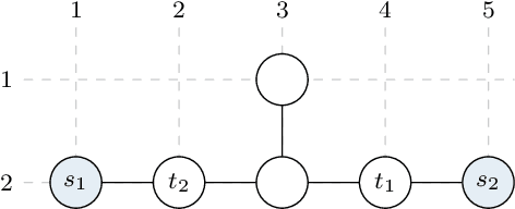
Multi-agent path finding (MAPF) in large networks is computationally challenging. An approach for MAPF is prioritized planning (PP), in which agents plan sequentially according to their priority. Albeit a computationally efficient approach for MAPF, the solution quality strongly depends on the prioritization. Most prioritizations rely either on heuristics, which do not generalize well, or iterate to find adequate priorities, which costs computational effort. In this work, we show how agents can compute with multiple prioritizations simultaneously. Our approach is general as it does not rely on domain-specific knowledge. The context of this work is multi-agent motion planning (MAMP) with a receding horizon subject to computation time constraints. MAMP considers the system dynamics in more detail compared to MAPF. In numerical experiments on MAMP, we demonstrate that our approach to prioritization comes close to optimal prioritization and outperforms state-of-the-art methods with only a minor increase in computation time. We show real-time capability in an experiment on a road network with ten vehicles in our Cyber-Physical Mobility Lab.